精英家教网 > 高中数学 > 题目详情
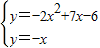
函数f(x)=-2x2+7x-6与g(x)=-x的图象所围成封闭图形的面积为   
【答案】分析:把直线与抛物线的图象画在同一个坐标系中,找出围成封闭图形,然后把直线与抛物线解析式联立求出直线与抛物线的交点坐标,根据图形得到抛物线解析式减去直线解析式在-2到1上的定积分即为阴影图形的面积,求出定积分的值即为所求的面积.
解答:解:根据题意画出图形,如图所示:
联立直线与抛物线解析式得:
解得:
设函数f(x)=-2x2+7x-6与g(x)=-x的图象所围成封闭图形的面积为S,
则S=∫13[(-2x2+7x-6)-(-x)]dx=(-+4x2-6x)|13=
故答案为:
点评:此题考查了定积分的运算,考查了数形结合的思想,利用定积分表示封闭图形的面积是解本题的关键.
练习册系列答案
相关习题

科目:高中数学 来源: 题型:

设函数f(x)=
2x,x∈(-∞,2)
log2x,x∈(2,+∞)
,则满足f(x)=4的x的值是(  )
A、2B、16
C、2或16D、-2或16

查看答案和解析>>

科目:高中数学 来源: 题型:

已知函数f(x)=
2x+3
3x
,数列{an}满足:a1=1,a n+1=f(
1
an
),
(1)求数列{an}的通项公式;
(2)令Tn=a1a2-a2a3+a3a4-a4a5+…+a2n-1a2n-a2na2n+1求Tn
(3)设bn=
1
an-1an
(n≥2),b1=3,Sn=b1+b2+b3+…+bn,若Sn
k-2004
2
对一切n∈N*成立,求最小的正整数m的值.

查看答案和解析>>

科目:高中数学 来源: 题型:

已知函数f(x)=
2x-1
2x+1
,对任意m∈[-3,3],不等式f(mx-1)+f(2x)<0恒成立,则实数x的取值范围为(  )

查看答案和解析>>

科目:高中数学 来源: 题型:

函数f(x)=
2x+6, x∈[1,2]
x+7, x∈[-1,1]
,则f(x)的最大值、最小值为
10,6
10,6

查看答案和解析>>

科目:高中数学 来源: 题型:

已知函数f(x)=2x+x-5,那么方程f(x)=0的解所在区间是(  )

查看答案和解析>>

同步练习册答案