精英家教网 > 高中数学 > 题目详情

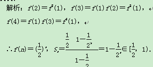
f(x)是定义在R上恒不为0的函数,对任意xy∈R,都有f(xf(y)=f(xy).若a1anf(n)(n为常数),则数列{an}的前n项和Sn的取值范围是(  )

A.[,2)  B.[,2]   C.[,1]  D.[,1)

练习册系列答案
相关习题

科目:高中数学 来源: 题型:

(01全国卷理)(14分)

f (x) 是定义在R上的偶函数,其图像关于直线x = 1对称.对任意x1x2∈[0,]都有f (x1x2) = f (x1) ? f (x2).且f (1) = a>0.

    (Ⅰ)求f () 及f ();

(Ⅱ)证明f (x) 是周期函数;

(Ⅲ)记an = f (2n),求

查看答案和解析>>

科目:高中数学 来源: 题型:

设f(x)是定义在R上的一个函数,函数g(x)= f(0n)(1-x)n+f()x(1-x)n-1+…+f()xn(1-x)0(x≠0,1).

(1)当f(x)=1时,求g(x);

(2)当f(x)=x时,求g(x).

查看答案和解析>>

科目:高中数学 来源: 题型:

设f(x)是定义在R上的偶函数且f(x+3)=-,又当-3≤x≤-2时,f(x)=2x,则f(113.5)的值是(    )

A.                  B.-                 C.                 D.-

查看答案和解析>>

科目:高中数学 来源:2013-2014学年人教版高考数学文科二轮专题复习提分训练7练习卷(解析版) 题型:填空题

f(x)是定义在R上且周期为2的函数,在区间[-1,1],f(x)=其中a,bR.f=f,a+3b的值为    .

 

查看答案和解析>>

科目:高中数学 来源:2011-2012学年宁夏高三第一次模拟考试文科数学试卷 题型:选择题

f(x)是定义在R上的偶函数,对xR,都有f(x+4)=f(x),且当x∈[-2,0]时,f(x)=()x-1,若在区间(-2,6]内关于x的方程f(x)-loga(x+2)=0(a>1)恰有3个不同的实数根,则a的取值范围是

A.(1,2)        B. (2,+∞)       C. (1,)       D. (,2)

 

查看答案和解析>>

同步练习册答案