精英家教网 > 高中数学 > 题目详情
计算下列定积分:
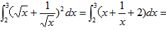
(1)
(2)
(3)

解:(1)

(2)
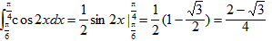
(3)

练习册系列答案
相关习题

科目:高中数学 来源: 题型:

计算下列定积分.
(1)∫-43|x|dx
(2)
n+1
2
1
x-1
dx

查看答案和解析>>

科目:高中数学 来源: 题型:

计算下列定积分:
2
1
(2x-
1
x2
)dx
=
5
2
5
2

查看答案和解析>>

科目:高中数学 来源: 题型:

计算下列定积分的值:
(1)
2
1
(x-1)5dx;   
(2)
π
2
0
(x+sinx)dx.

查看答案和解析>>

科目:高中数学 来源: 题型:

利用定积分的几何意义或微积分基本定理计算下列定积分:
(1)∫01
1-x2
dx=
π
4
π
4
.        (2)∫132xdx=
6
ln2
6
ln2

查看答案和解析>>

科目:高中数学 来源: 题型:

计算下列定积分
(1)∫
 
π
2
0
(3x2+sinx)dx;           
(2)∫
 
3
-3
9-x2
dx.

查看答案和解析>>

同步练习册答案