精英家教网 > 高中数学 > 题目详情
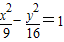
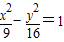
以双曲线的右焦点为圆心,且与其渐近线相切的圆的方程是( )
A.x2+y2-10x+9=0
B.x2+y2-10x+16=0
C.x2+y2+10x+16=0
D.x2+y2+20x+9=0
【答案】分析:求出双曲线的右焦点得到圆心,在求出圆心到其渐近线的距离得到圆的半径,从而得到圆的方程.
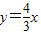
解答:解:右焦点即圆心为(5,0),一渐近线方程为,即4x-3y=0,
,圆方程为(x-5)2+y2=16,
即x2+y2-10x+9=0,
故选A.
点评:本题考查双曲线的焦点坐标和其渐近线方程以及圆的基础知识,在解题过程要注意相关知识的灵活运用.
练习册系列答案
相关习题

科目:高中数学 来源:2013-2014学年山西省高三上学期期中考试文科数学试卷(解析版) 题型:填空题

以双曲线的右焦点为圆心,并与其渐近线相切的圆的标准方程是          .

 

查看答案和解析>>

科目:高中数学 来源:2011-2012学年湖南省长、望、浏、宁高三3月一模联考理科数学试卷 题型:选择题

以双曲线的右焦点为圆心且与双曲线的渐近线相切的圆的方程是(    )

    A. B.

    C.                      D.

 

查看答案和解析>>

科目:高中数学 来源:2010-2011学年云南省高三第一次月考理科数学卷 题型:填空题

以双曲线的右焦点为圆心,且与其渐近线相切的圆的方程为               .

 

查看答案和解析>>

科目:高中数学 来源:2010年吉林省长春市高二上学期期中考试数学理卷 题型:填空题

以双曲线的右焦点为圆心,且与其渐近线相切的圆的方程是_______

 

查看答案和解析>>

科目:高中数学 来源:2010年吉林省长春市高二上学期期中考试数学文卷 题型:填空题

以双曲线的右焦点为圆心,且与其渐近线相切的圆的方程是_______

 

查看答案和解析>>

同步练习册答案