精英家教网 > 高中数学 > 题目详情

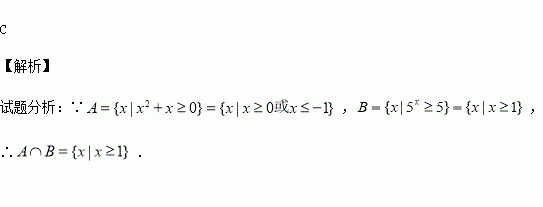
集合,则( )

A. B.

C. D.

练习册系列答案
相关习题

科目:高中数学 来源:2015-2016学年河北邯郸曲周县一中高二上学期第二次月考理科数学卷(解析版) 题型:填空题

命题:“存在x∈R,使x2+ax﹣4a<0”为假命题,则实数a的取值范围是

查看答案和解析>>

科目:高中数学 来源:2016届江西省名校学术联盟高三第一次调研一文科数学试卷(解析版) 题型:选择题

已知集合,则的子集可以是

A. B. C. D.

查看答案和解析>>

科目:高中数学 来源:2016届吉林省长春市高三质量监测文科数学试卷(解析版) 题型:选择题

抛物线的准线方程为( )

A. B. C. D.

查看答案和解析>>

科目:高中数学 来源:2016届安徽省高三第一次联考理科数学试卷(解析版) 题型:解答题

(本小题满分12分)

网上购物逐步走进大学生活,某大学学生宿舍4人积极参加网购,大家约定:每个人通过掷一枚质地均匀的骰子决定自己去哪家购物,掷出点数为5或6的人去淘宝网购物,掷出点数小于5的人去京东商城购物,且参加者必须从淘宝网和京东商城选择一家购物。

(1)求这4个人中恰有1人去淘宝网购物的概率;

(2)用分别表示这4个人中去淘宝网和京东商城购物的人数,集,求随机变量的分布列与数学期望

查看答案和解析>>

科目:高中数学 来源:2014-2015学年东北三省等三校高三第一次模拟文科数学试卷(解析版) 题型:选择题

△ABC的内角A、B、C的对边分别为a、b、c,则“”是“”的()

A.充分不必要条件 B.必要不充分条件

C.充要条件 D.既不充分也不必要条件

查看答案和解析>>

科目:高中数学 来源:2014-2015学年西藏拉萨中学高二下学期期末理科数学试卷(解析版) 题型:解答题

(10分)(2013•陕西)有7位歌手(1至7号)参加一场歌唱比赛,由500名大众评委现场投票决定歌手名次,根据年龄将大众评委分为5组,各组的人数如下:

(Ⅰ)为了调查评委对7位歌手的支持状况,现用分层抽样方法从各组中抽取若干评委,其中从B组中抽取了6人.请将其余各组抽取的人数填入下表.

抽取人数 6

(Ⅰ)在(Ⅰ)中,若A,B两组被抽到的评委中各有2人支持1号歌手,现从这两组被抽到的评委中分别任选1人,求这2人都支持1号歌手的概率.

查看答案和解析>>

科目:高中数学 来源:2014-2015学年江苏省南通市高二下学期期末文科数学试卷(解析版) 题型:解答题

在锐角中,角A、B、C所对的边分别是a、b、c,为△ABC的外心.

(1)若,求的值;

(2)已知,求的值.

查看答案和解析>>

科目:高中数学 来源:2016届山东省高三上学期开学考试文科数学试卷(解析版) 题型:选择题

如果函数在区间单调递减,则的最大值为

A.16 B.18 C.25 D.

查看答案和解析>>

同步练习册答案