精英家教网 > 高中数学 > 题目详情
已知直线l1为曲线y=x2+x-2在点(1,0)处的切线,l2为该曲线的另一条切线,且l1⊥l2
(1)求直线l2的方程;
(2)求由直线l1、l2和x轴所围成的三角形的面积。
解:(1)∵==2x+1,
=3
所以直线l1的方程为y=3(x-1),即y=3x-3,
设直线l2过曲线y=x2+x-2上的点,则直线l2的方程为
∵ll⊥l2
∴3(2x0+1)=-1,
∴直线l2的方程为
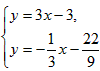
(2)解方程组
又直线l1、l2与x轴交点分别为(1,0)、
∴所求三角形面积
练习册系列答案
相关习题

科目:高中数学 来源: 题型:

已知直线l1为曲线y=x2+x-2在点(1,0)处的切线,l2为该曲线的另一条切线,且l1⊥l2
(Ⅰ)求直线l2的方程;
(Ⅱ)求由直线l1、l2和x轴所围成的三角形的面积.

查看答案和解析>>

科目:高中数学 来源: 题型:

已知直线l1为曲线y=x2+x-2在点(0,-2)处的切线,l2为该曲线的另一条切线,且l1⊥l2,则直线l2的方程为:
x+y+3=0
x+y+3=0

查看答案和解析>>

科目:高中数学 来源: 题型:

已知直线l1为曲线y=x2在点(1,1)处的切线,l2为该曲线的另一条切线,且l1⊥l2
(1)求直线l1与l2的方程;
(2)求直线l1,l2与x轴所围成的三角形的面积.

查看答案和解析>>

科目:高中数学 来源:2010-2011年浙江省高二下学期期中考试数学理卷 题型:解答题

已知直线l1为曲线y=x2+x-2在点(1,0)处的切线,l2为该曲线的另一条切线,且l1⊥l2.

(1)求直线l2的方程;

(2)求由直线l1,l2和x轴所围成的三角形面积.

 

 

查看答案和解析>>

科目:高中数学 来源:贵州 题型:解答题

已知直线l1为曲线y=x2+x-2在点(1,0)处的切线,l2为该曲线的另一条切线,且l1⊥l2
(Ⅰ)求直线l2的方程;
(Ⅱ)求由直线l1、l2和x轴所围成的三角形的面积.

查看答案和解析>>

同步练习册答案