精英家教网 > 高中数学 > 题目详情

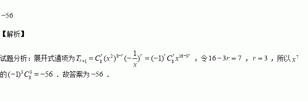
的展开式中x2的系数为__________.(用数字作答)

练习册系列答案
相关习题

科目:高中数学 来源:2016年全国普通高等学校招生统一考试理科数学(浙江卷参考版) 题型:填空题

如图,在△ABC中,AB=BC=2,∠ABC=120°.若平面ABC外的点P和线段AC上的点D,满足PD=DA,PB=BA,则四面体PBCD的体积的最大值是 .

查看答案和解析>>

科目:高中数学 来源:2016年全国普通高等学校招生统一考试数学(江苏卷参考版) 题型:解答题

已知函数.设.

(1)求方程=2的根;

(2)若对任意,不等式恒成立,求实数m的最大值;

(3)若,函数有且只有1个零点,求ab的值。

查看答案和解析>>

科目:高中数学 来源:2016年全国普通高等学校招生统一考试数学(江苏卷参考版) 题型:填空题

复数其中i为虚数单位,则z的实部是________________.

查看答案和解析>>

科目:高中数学 来源:2016年全国普通高等学校招生统一考试理科数学(天津卷参考版) 题型:解答题

已知函数f(x)=4tanxsin()cos()-.

(Ⅰ)求f(x)的定义域与最小正周期;

(Ⅱ)讨论f(x)在区间[]上的单调性.

查看答案和解析>>

科目:高中数学 来源:2016年全国普通高等学校招生统一考试理科数学(天津卷参考版) 题型:选择题

设{an}是首项为正数的等比数列,公比为q,则“q<0”是“对任意的正整数n,a2n?1+a2n<0”的( )

(A)充要条件 (B)充分而不必要条件

(C)必要而不充分条件 (D)既不充分也不必要条件

查看答案和解析>>

科目:高中数学 来源:2016年全国普通高等学校招生统一考试文科数学(天津卷参考版) 题型:解答题

已知是等比数列,前n项和为,且.

(Ⅰ)求的通项公式;

(Ⅱ)若对任意的的等差中项,求数列的前2n项和.

查看答案和解析>>

科目:高中数学 来源:2016年全国普通高等学校招生统一考试文科数学(天津卷参考版) 题型:选择题

已知集合,则=( )

(A) (B) (C) (D)

查看答案和解析>>

科目:高中数学 来源:2016年全国普通高等学校招生统一考试理科数学(全国3卷参考版) 题型:选择题

某旅游城市为向游客介绍本地的气温情况,绘制了一年中月平均最高气温和平均最低气温的雷达图。图中A点表示十月的平均最高气温约为150C,B点表示四月的平均最低气温约为50C。下面叙述不正确的是

(A)各月的平均最低气温都在00C以上

(B)七月的平均温差比一月的平均温差大

(C)三月和十一月的平均最高气温基本相同

(D)平均气温高于200C的月份有5个

查看答案和解析>>

同步练习册答案