精英家教网 > 高中数学 > 题目详情
已知双曲线C:(a>0,b>0)的离心率为,且过点(4,3).
(1)求双曲线C的标准方程和焦点坐标;
(2)已知点P在双曲线C上,且∠F1PF2=90°,求点P到x轴的距离.
【答案】分析:(1)通过离心率与点在双曲线上,得到两个方程,求出a,b,即可求双曲线C的标准方程和焦点坐标;
(2)利用点P在双曲线C上,且∠F1PF2=90°,勾股定理与双曲线的定义列出方程,利用三角形的面积,求点P到x轴的距离.
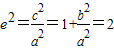
解答:解:(1)∵∴a2=b2
∴双曲线C:…(2分)
将点(4,3)代入得a2=b2=1…(4分)
∴双曲线C的标准方程为x2-y2=1,焦点坐标为F1)和F2)…(6分)
(2)由已知得∴|F1P|•|F2P|=2…(9分)
所以点P到x轴的距离为.…(12分)
点评:本题考查双曲线方程的求法,双曲线的简单性质,考查计算能力.
练习册系列答案
相关习题

科目:高中数学 来源: 题型:

(08年潍坊市六模)(12分)已知双曲线Ca>0,b>0),B是右顶点,F是右焦点,点Ax轴正半轴上,且满足成等比数列,过F作双曲线C在第一、第三象限的渐近线的垂线l,垂足为P

  (1)求证:

  (2)若l与双曲线C的左、右两支分别相交于点DE,求双曲线C的离心率e的取值范围.

 

查看答案和解析>>

科目:高中数学 来源: 题型:

已知双曲线C:=1(a>0,b>0),B是右顶点,F是右焦点,点A在x轴的正半轴,且满足||、||、||成等比数列,过F作双曲线C在第一、三象限的渐近线的垂线l,垂足为P.

(1)求证:·=·

(2)若l与双曲线C的左、右两支分别交于点D、E,求双曲线C的离心率e的取值范围.

查看答案和解析>>

科目:高中数学 来源: 题型:

已知双曲线C:=1(a>0,b>0),B是右顶点,F是右焦点,点A在x轴正半轴上,且||、||、||成等比数列,过F作双曲线C在第一、三象限的渐近线的垂线l,垂足为P.

(1)求证:·=·

(2)若l与双曲线C的左、右两支分别相交于点D、E,求双曲线离心率e的取值范围.

查看答案和解析>>

科目:高中数学 来源:2013年全国普通高等学校招生统一考试理科数学(全国大纲卷解析版) 题型:解答题

已知双曲线C:(a>0,b>0)的左、右焦点分别为,离心率为3,直线y=2与C的两个交点间的距离为.

(Ⅰ)求a,b;

(Ⅱ)设过的直线l与C的左、右两支分别交于A、B两点,且,证明:成等比数列.

 

查看答案和解析>>

科目:高中数学 来源:2012-2013学年江苏省扬州中学高三(上)周练数学试卷(12.22)(解析版) 题型:填空题

在平面直角坐标系xOy中,已知双曲线C:(a>0)的一条渐近线与直线l:2x-y+1=0垂直,则实数a=   

查看答案和解析>>

同步练习册答案