精英家教网 > 高中数学 > 题目详情
若实数x,y满足则z=x+2y的最大值是   
【答案】分析:先根据约束条件画出可行域,再利用几何意义求最值,z=x+2y表示直线在y轴上的截距,只需求出可行域直线在y轴上的截距最大值即可.
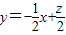
解答:解:满足题中约束条件的可行域如图所示.
目标函数z=x+2y取得最大值,
即使得函数在y轴上的截距最大.
结合可行域范围知,当其过点P(0,1)时,Zmax=0+2×1=2.
故答案为:2.
点评:本题考查简单线性规划,解题的重点是作出正确的约束条件对应的区域,根据目标函数的形式及图象作出正确判断找出最优解,
练习册系列答案
相关习题

科目:高中数学 来源: 题型:

若实数xy满足z=2x+y的最大值是

A.12              B.13           C.14           D.15

查看答案和解析>>

科目:高中数学 来源: 题型:

若实数xy满足z=x+2y的最大值是       

 


查看答案和解析>>

科目:高中数学 来源:2013届江苏省高二第一学期期中考试数学 题型:填空题

若实数xy满足z=x+2y的最大值是   ▲   

 

查看答案和解析>>

科目:高中数学 来源:2012-2013学年甘肃省兰州一中高三(上)12月月考数学试卷(理科)(解析版) 题型:选择题

若实数x,y满足则z=3x+2y的最小值是( )
A.0
B.1
C.
D.9

查看答案和解析>>

科目:高中数学 来源:2012-2013学年四川省成都市电子科大实验中学高三(上)10月月考数学试卷3(解析版) 题型:选择题

若实数x,y满足则z=3x+2y的最小值是( )
A.0
B.1
C.
D.9

查看答案和解析>>

同步练习册答案