精英家教网 > 高中数学 > 题目详情
调查某初中1000名学生的肥胖情况,得下表:
 
偏瘦
正常
肥胖
女生(人)
100
173
y
男生(人)
x
177
z
已知从这批学生中随机抽取1名学生,抽到偏瘦男生的概率为0.15。
(Ⅰ)求x的值;
(Ⅱ)若用分层抽样的方法,从这批学生中随机抽取50名,问应在肥胖学生中抽多少名?
(Ⅲ)已知y≥193,z≥193,肥胖学生中男生不少于女生的概率。
解:(Ⅰ)由题意可知,,∴x=150(人);
(Ⅱ)由题意可知,肥胖学生人数为y+z=400(人)。
设应在肥胖学生中抽取m人,则
∴m=20(人),
所以,应在肥胖学生中抽20名。
(Ⅲ)由题意可知,y+z=400,且y≥193,z≥193,满足条件的(y,z)有(193,207),(194,206),…,(207,193),共有21组,
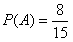
设事件A:“肥胖学生中男生不少于女生”,即y≤z,
满足条件的(y,z)有(193,207),(194,206),…,(200,200),共有8组,
所以,
所以,肥胖学生中女生少于男生的概率为
练习册系列答案
相关习题

科目:高中数学 来源: 题型:

调查某初中1000名学生的肥胖情况,得下表:
偏瘦 正常 肥胖
女生(人) 100 173 y
男生(人) x 177 z
已知从这批学生中随机抽取1名学生,抽到偏瘦男生的概率为0.15.
(Ⅰ)求x的值;
(Ⅱ)若用分层抽样的方法,从这批学生中随机抽取50名,问应在肥胖学生中抽多少名?
(Ⅲ)已知y≥193,z≥193,肥胖学生中男生不少于女生的概率.

查看答案和解析>>

科目:高中数学 来源:2011-2012学年云南省、楚雄一中、昆明三中高三第二次联考文科数学 题型:解答题

(本题满分12分)

调查某初中1000名学生的肥胖情况,得下表:

  

偏瘦

正常

肥胖

女生(人)

100

173

男生(人)

177

已知从这批学生中随机抽取1名学生,抽到偏瘦男生的概率为0.15。

(1)求的值;

(2)若用分层抽样的方法,从这批学生中随机抽取50名,问应在肥胖学生中抽多少名?

(3)已知,肥胖学生中男生不少于女生的概率。

 

 

查看答案和解析>>

科目:高中数学 来源:2012届度辽宁省高三12月月考文科数学试卷 题型:解答题

调查某初中1000名学生的肥胖情况,得下表:

  

偏瘦

正常

肥胖

女生(人)

100

173

男生(人)

177

已知从这批学生中随机抽取1名学生,抽到偏瘦男生的概率为0.15。

(1)求的值;

(2)若用分层抽样的方法,从这批学生中随机抽取50名,问应在肥胖学生中抽多少名?

(3)已知,肥胖学生中男生不少于女生的概率。

 

查看答案和解析>>

科目:高中数学 来源:吉安二模 题型:解答题

调查某初中1000名学生的肥胖情况,得下表:
偏瘦 正常 肥胖
女生(人) 100 173 y
男生(人) x 177 z
已知从这批学生中随机抽取1名学生,抽到偏瘦男生的概率为0.15.
(Ⅰ)求x的值;
(Ⅱ)若用分层抽样的方法,从这批学生中随机抽取50名,问应在肥胖学生中抽多少名?
(Ⅲ)已知y≥193,z≥193,肥胖学生中男生不少于女生的概率.

查看答案和解析>>

科目:高中数学 来源:2011-2012学年云南省昆明三中、玉溪一中、楚雄一中高三第二次联考数学试卷(文科)(解析版) 题型:解答题

调查某初中1000名学生的肥胖情况,得下表:
偏瘦正常肥胖
女生(人)100173y
男生(人)x177z
已知从这批学生中随机抽取1名学生,抽到偏瘦男生的概率为0.15.
(Ⅰ)求x的值;
(Ⅱ)若用分层抽样的方法,从这批学生中随机抽取50名,问应在肥胖学生中抽多少名?
(Ⅲ)已知y≥193,z≥193,肥胖学生中男生不少于女生的概率.

查看答案和解析>>

同步练习册答案