科目:高中数学 来源: 题型:
| x2 |
| 100 |
| y2 |
| 25 |
| 64 |
| 7 |
查看答案和解析>>
科目:高中数学 来源: 题型:
| x2 |
| 100 |
| y2 |
| 25 |
| 64 |
| 7 |
| 5 |
| 5 |
查看答案和解析>>
科目:高中数学 来源: 题型:
![]()
(1)求航天器变轨后的运行轨迹所在的曲线方程;
(2)试问:当航天器在x轴上方时,观测点A、B测得离航天器的距离分别为多少时.应向航天器发出变轨指令?
查看答案和解析>>
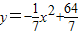
科目:高中数学 来源: 题型:
学校科技小组在计算机上模拟航天器变轨返回试验. 设计方案如图:航天器运行(按顺时针方向)的轨迹方程为
,变轨(即航天器运行轨迹由椭圆变为抛物线)后返回的轨迹是以
轴为对称轴、
为顶点的抛物线的实线部分,降落点为
. 观测点
同时跟踪航天器.求航天器变轨后的运行轨迹所在的曲线方程。
查看答案和解析>>
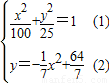
科目:高中数学 来源: 题型:
学校科技小组在计算机上模拟航天器变轨返回试验. 设计方案如图:航天器运行(按顺时针方向)的轨迹方程为
,变轨(即航天器运行轨迹由椭圆变为抛物线)后返回的轨迹是以
轴为对称轴、
为顶点的抛物线的实线部分,降落点为
. 观测点
同时跟踪航天器. 试问:当航天器在
轴上方时,观测点
测得离航天器的距离分别为多少时,应向航天器发出变轨指令?
查看答案和解析>>
湖北省互联网违法和不良信息举报平台 | 网上有害信息举报专区 | 电信诈骗举报专区 | 涉历史虚无主义有害信息举报专区 | 涉企侵权举报专区
违法和不良信息举报电话:027-86699610 举报邮箱:58377363@163.com