精英家教网 > 高中数学 > 题目详情

在一半径为R的圆形广场中心挂一灯,问灯挂多高,才能使广场周围的路上照得最亮?(灯光的亮度与光线投射角的余弦成正比,与光源距离的平方成反比,而投射角是经过灯光所作垂直于地面的直线与光线所夹的角)

答案:
解析:

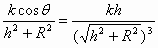
  解析:如图,照度(h)=

  (h>0),∴(h)=

  =

  ∴在(0,+∞)内只有一个驻点h=.(0,)中,(h)>0,(,+∞)中,(h)<0,所以I()是极大值,即最大值.


练习册系列答案
相关习题

科目:高中数学 来源: 题型:

精英家教网如图,在南北方向有一条公路,一半径为100m的圆形广场(圆心为O)与此公路一边所在直线l相切于点A.点P为北半圆弧(弧APB)上的一点,过P作直线l的垂线,垂足为Q.计划在△PAQ内(图中阴影部分)进行绿化.设△PAQ的面积为S(单位:m2).
(1)设∠BOP=α(rad),将S表示为α的函数;
(2)确定点P的位置,使绿化面积最大,并求出最大面积.

查看答案和解析>>

科目:高中数学 来源:设计选修数学-1-1苏教版 苏教版 题型:044

在一半径为R的圆形广场中心挂一灯,问灯挂多高,才能使广场周围的路上照得最亮?(灯光的亮度与光线投射角的余弦成正比,与光源距离的平方成反比,而投射角是经过灯光所作垂直于地面的直线与光线所夹的角)

查看答案和解析>>

科目:高中数学 来源: 题型:

在一个半径为a的圆形广场中心挂一盏灯,挂多高才能使广场的光线最亮?已知灯光的亮度与投射角的余弦成正比,与光源距离的平方成反比,投射角指经过灯所作地面的垂线与光线的夹角.

      

查看答案和解析>>

科目:高中数学 来源:2010年江苏省宿迁中学高考数学模拟试卷(解析版) 题型:解答题

如图,在南北方向有一条公路,一半径为100m的圆形广场(圆心为O)与此公路一边所在直线l相切于点A.点P为北半圆弧(弧APB)上的一点,过P作直线l的垂线,垂足为Q.计划在△PAQ内(图中阴影部分)进行绿化.设△PAQ的面积为S(单位:m2).
(1)设∠BOP=α(rad),将S表示为α的函数;
(2)确定点P的位置,使绿化面积最大,并求出最大面积.

查看答案和解析>>

同步练习册答案