精英家教网 > 高中数学 > 题目详情
有四个游戏盘,如果撒一粒黄豆落在阴影部分,则可中奖,小明希望中奖,他应当选择的游戏盘为( )
A.
B.
C.
D.
【答案】分析:先明确是几何概型中的面积类型,分别求三角形与扇形的面积,然后求比值即可.
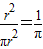
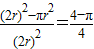
解答:解:A、游戏盘的中奖概率为
B、游戏盘的中奖概率为
C、游戏盘的中奖概率为
D、游戏盘的中奖概率为
游戏盘的中奖概率最大.故选A
点评:本题主要考查几何概型中的面积类型,基本方法是:分别求得构成事件A的区域面积和试验的全部结果所构成的区域面积,两者求比值,即为概率.
练习册系列答案
相关习题

科目:高中数学 来源: 题型:

有四个游戏盘,如果撒一粒黄豆落在阴影部分,则可中奖,小明希望中奖,他应当选择的游戏盘为(  )
A、精英家教网B、精英家教网C、精英家教网D、精英家教网

查看答案和解析>>

科目:高中数学 来源: 题型:

有四个游戏盘,如果撒一粒黄豆落在阴影部分,则可中奖.小明希望中奖,他应当选择的游戏盘为(  )

   

查看答案和解析>>

科目:高中数学 来源: 题型:

有四个游戏盘,如果撒一粒黄豆落在阴影部分,则可中奖.小明希望中奖,他应当选择的游戏盘为(  )

查看答案和解析>>

科目:高中数学 来源:湖南省邵阳市09-10学年高一下学期期末考试数学试题 题型:选择题

有四个游戏盘,如果撒一粒黄豆落在阴影部分,则可中奖。小明希望中奖概率最大,他应当选择的游戏盘是(    )                                                                                

 

 

 

 

 

 

 

 

 

查看答案和解析>>

科目:高中数学 来源:2010-2011学年河南省周口市鹿邑三中高一(下)第三次月考数学试卷(理科)(解析版) 题型:选择题

有四个游戏盘,如果撒一粒黄豆落在阴影部分,则可中奖,小明希望中奖,他应当选择的游戏盘为( )
A.
B.
C.
D.

查看答案和解析>>

同步练习册答案