精英家教网 > 高中数学 > 题目详情

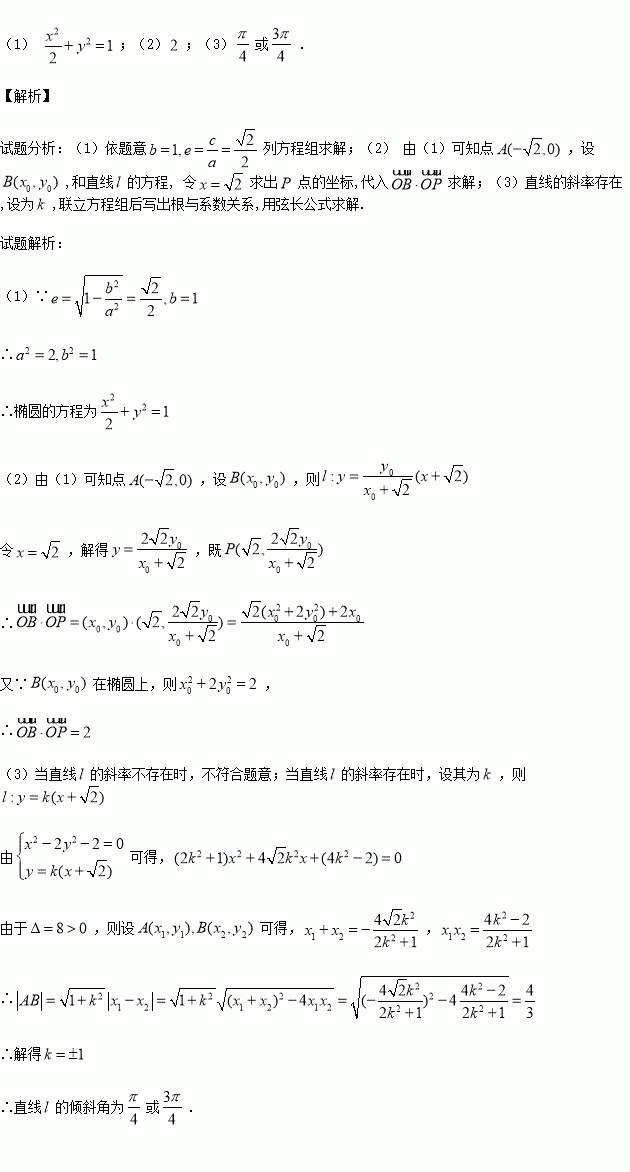
已知椭圆的离心率为,短轴的一个端点为,过椭圆左顶点的直线与椭圆的另一交点为.

(1)求椭圆的方程;

(2)若与直线交于点的值;

(3)若,求直线的倾斜角.

练习册系列答案
相关习题

科目:高中数学 来源:2016届安徽省高三第九次月考理科数学试卷(解析版) 题型:选择题

内(含边界)运动,且,则的最大值为( )

A.0 B.1 C.2 D.3

查看答案和解析>>

科目:高中数学 来源:2015-2016学年河北武邑中学高二下4.17周考理数学卷(解析版) 题型:选择题

某几何体三视图如下图所示,则该几何体的体积是( )

A. B. C. D.

查看答案和解析>>

科目:高中数学 来源:2015-2016学年北大附中河南分校高一宏志班下期中数学卷(解析版) 题型:解答题

分别是椭圆的左、右焦点,已知点(其中为椭圆的半焦距),若线段的中垂线恰好过点,则椭圆离心率的值为( )

A. B. C. D.

查看答案和解析>>

科目:高中数学 来源:2015-2016学年北大附中河南分校高一宏志班下期中数学卷(解析版) 题型:选择题

中,分别是内角的对边,且,则等于( )

A. B. C. D.

查看答案和解析>>

科目:高中数学 来源:2015-2016学年西藏日喀则一中高二4月月考文数学卷(解析版) 题型:填空题

在德国不莱梅举行的第48届世乒赛期间,某商场橱窗里用同样的乒乓球堆成若干准“正三棱锥”形的展品,其中第一堆只有一层,就一个乒乓球;第2、3、4、…堆最底层(第一层)分别按图4所示方式固定摆放,从第一层开始,每层的小球自然垒放在下一层之上,第堆第层就放一个乒乓球,以表示第堆的乒乓球总数,则_____________;____________.(答案用表示)

查看答案和解析>>

科目:高中数学 来源:2015-2016学年西藏日喀则一中高二4月月考文数学卷(解析版) 题型:选择题

双曲线的左焦点在抛物线的准线上,则该双曲线的离心离为( )

A. B. C. D.4

查看答案和解析>>

科目:高中数学 来源:2015-2016学年湖南长郡中学高二水平模拟文科数学卷(解析版) 题型:填空题

过点且与直线平行的直线方程为

查看答案和解析>>

科目:高中数学 来源:2015-2016学年湖南长郡中学高二下第一次检测文数学卷(解析版) 题型:填空题

函数的定义域是___________.

查看答案和解析>>

同步练习册答案