精英家教网 > 高中数学 > 题目详情
已知中心在原点的双曲线C的左焦点为(-2,0),右顶点为(,0)。
(1)求双曲线C的方程;
(2)若直线l:y=kx+与双曲线C恒有两个不同的交点A,B且(其中O为原点),求k的取值范围。
解:(1)由题意,知双曲线C的焦点在x轴上,且c=2,a=
∴b=1,
∴双曲线C的方程为
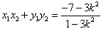
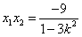
(2)由题意,设
将直线l:代入双曲线,有

∵直线l与双曲线C恒有两个不同的交点A,B且





化简,得:

∴k的取值范围是{k|}。
练习册系列答案
相关习题

科目:高中数学 来源: 题型:

(08年龙岩一中冲刺文)(分)已知双曲线C的中心在原点,焦点在x轴上,右准线为一条渐近线的方程是过双曲线C的右焦点F2的一条弦交双曲线右支于P、Q两点,R是弦PQ的中点.

   (1)求双曲线C的方程;

   (2)若A、B分别是双曲C上两条渐近线上的动点,且2|AB|=|F1F2|,求线段AB的中点M的迹方程,并说明该轨迹是什么曲线。

   (3)若在双曲线右准线L的左侧能作出直线m:x=a,使点R在直线m上的射影S满足,当点P在曲线C上运动时,求a的取值范围.

查看答案和解析>>

同步练习册答案