精英家教网 > 高中数学 > 题目详情

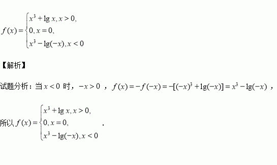
已知在上的奇函数,当时,,则其解析式为

练习册系列答案
相关习题

科目:高中数学 来源:2015-2016学年湖北省武汉市高二上学期期中考试数学试卷(解析版) 题型:选择题

到直线的距离是( )

A. B. C. D.

查看答案和解析>>

科目:高中数学 来源:2016届江苏省高三上学期周练数学试卷(解析版) 题型:填空题

已知等差数列满足,则它的前10项的和

查看答案和解析>>

科目:高中数学 来源:2015-2016学年山西省高二上期中理科数学试卷(解析版) 题型:填空题

若直线与直线垂直,则

查看答案和解析>>

科目:高中数学 来源:2015-2016学年江西省吉安市高一上学期期中数学试卷(解析版) 题型:选择题

的值为( )

A.6 B.8 C.15 D.30

查看答案和解析>>

科目:高中数学 来源:2015-2016学年江苏省高一10月月考数学试卷(解析版) 题型:填空题

某班共50人,其中21人喜爱篮球运动,18人喜爱乒乓球运动,20人对这两项运动都不喜爱,则喜爱篮球运动但不喜爱乒乓球运动的人数为

查看答案和解析>>

科目:高中数学 来源:2015-2016学年吉林省高一上期中理科数学试卷(解析版) 题型:解答题

在平面直角坐标系中,点在角的终边上,点在角β的终边上,点在角终边上.

(1)求的值;

(2)求的值.

查看答案和解析>>

科目:高中数学 来源:2015-2016学年广东汕头金山中学高一上学期期中数学试卷(解析版) 题型:填空题

函数的值域是

查看答案和解析>>

科目:高中数学 来源:2016届广东省广州市高三上学期期中文科数学试卷(解析版) 题型:选择题

已知 中,角对边分别为边上的高,以下结论:

其中所有正确的是:( )

A.①②③ B.①②③④ C.②③④ D.①④

查看答案和解析>>

同步练习册答案