精英家教网 > 高中数学 > 题目详情

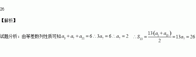
等差数列{an}的前n项和为Sn,若a3+a7+a11=6,则S13=________.

练习册系列答案
相关习题

科目:高中数学 来源:2015-2016学年湖北省高二上期中文科数学试卷(解析版) 题型:选择题

过双曲线C:=1的右顶点作x轴的垂线,与C的一条渐近线相交于点A.若以C的右焦点为圆心、半径为4的圆经过A,O两点(O为坐标原点),则双曲线C的方程为( )

A.=1 B.=1 C.=1 D.=1

查看答案和解析>>

科目:高中数学 来源:2015-2016学年辽宁省大连市高一上学期期中考试数学试卷(解析版) 题型:解答题

已知函数在区间[1,3]上有最大值5和最小值2,求的值

查看答案和解析>>

科目:高中数学 来源:2015-2016学年广东省普宁市高一上学期期中考试数学试卷(解析版) 题型:填空题

定义一种运算,令,且,则函数的最大值是

查看答案和解析>>

科目:高中数学 来源:2015-2016学年甘肃省定西市高一上学期第一次月考数学试卷(解析版) 题型:选择题

已知,则( )

A.5 B.-1 C.-7 D.2

查看答案和解析>>

科目:高中数学 来源:2014-2015学年上海市高一下学期期末考试数学试卷(解析版) 题型:填空题

在数列中,已知,且数列是等比数列,则

查看答案和解析>>

科目:高中数学 来源:2015-2016学年浙江省平湖市高一10月月考数学试卷(解析版) 题型:解答题

(本题10分)已知是定义在上的奇函数,时,

(1)求上的表达式;

(2)令,问是否存在大于零的实数,使得当时,函数值域为,若存在求出的值,若不存在请说明理由.

查看答案和解析>>

科目:高中数学 来源:2015-2016学年四川成都市六校高二上学期期中联考文科数学试卷(解析版) 题型:解答题

(本小题满分12分)已知以点C (t∈R,t≠0)为圆心的圆与x轴交于点O、A两点,与y轴交于点O,B,其中O为原点.

(1)求证:△AOB的面积为定值;

(2)设直线2x+y-4=0与圆C交于点M,N,若,求圆C的方程;

(3)在(2)的条件下,设P,Q分别是直线l:x+y+2=0和圆C上的动点,求的最小值及此时点P的坐标.

查看答案和解析>>

科目:高中数学 来源:2015-2016学年福建三明一中高二上第二次月考文数学卷(解析版) 题型:解答题

已知命题:方程表示焦点在轴上的椭圆;命题:实数使得不等式成立.

(1)若时,求命题中的椭圆的离心率;

(2)求命题是命题的什么条件.

查看答案和解析>>

同步练习册答案