精英家教网 > 高中数学 > 题目详情
如图:已知椭圆(a>b>0),A(2,0)是长轴的一个端点,弦BC过椭圆的中心O,且

(Ⅰ)求椭圆的方程;
(Ⅱ)若AB上的一点F满足,求证:CF平分∠BCA。
(Ⅰ)解:∵
,∠ACB=90°,
,即
∴△AOC是等腰直角三角形,
∵A(2,0),
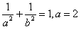
∴C(1,1)而点C在椭圆上,
,∴
∴所求椭圆方程为
(Ⅱ)证明:由(Ⅰ),得C(1,1),B(-1,-1),


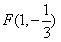
即点F分所成的定比为2,
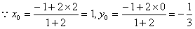
设F(x0,y0),

,CF⊥x轴,
∴∠ACF=∠FCB=45°,即CF平分∠BCA。
练习册系列答案
相关习题

科目:高中数学 来源:2014届广东省、阳东一中高二上联考文数试卷(解析版) 题型:解答题

(本题满分14分)

如图,已知椭圆=1(ab>0),F1F2分别为椭圆的左、右焦点,A为椭圆的上的顶点,直线AF2交椭圆于另 一点B.

(1)若∠F1AB=90°,求椭圆的离心率;

(2)若=2·,求椭圆的方程.

 

查看答案和解析>>

科目:高中数学 来源:2013届度吉林省吉林市高二上学期期末理科数学试卷 题型:解答题

如图,已知椭圆(a>b>0)的离心率,过顶点A、B的直线与原点的距离为

 

 

(1)求椭圆的方程.

(2)已知定点E(-1,0),若直线y=kx+2(k≠0)与椭圆交于C、D两点.问:是否存在k的值,使以CD为直径的圆过E点?请说明理由.

 

查看答案和解析>>

科目:高中数学 来源:2013届江苏省淮安市高二上学期期末模拟考试(四)数学 题型:解答题

如图,已知椭圆(a>b>0)的离心率,过点A(0,-b)和B(a,0)的直线与原点的距离为

 

 

(1)求椭圆的方程.

(2)已知定点E(-1,0),若直线y=kx+2(k≠0)与椭圆交于C、D两点.

问:是否存在k的值,使以CD为直径的圆过E点?请说明理由.

 

查看答案和解析>>

科目:高中数学 来源:2013届山东省潍坊市高二寒假作业(三)数学试卷 题型:解答题

如图,已知椭圆(a>b>0)的离心率,过点A(0,-b)和B(a,0)的直线与原点的距离为

 

 

(1)求椭圆的方程.

(2)已知定点E(-1,0),若直线y=kx+2(k≠0)与椭圆交于C、D两点.问:是否存在k的值,使以CD为直径的圆过E点?请说明理由.

 

查看答案和解析>>

科目:高中数学 来源:2010年河北省邯郸市高二上学期期末考试数学理卷 题型:解答题

(示范高中)如图,已知椭圆(a>b>0)的离心率,过点的直线与原点的距离为

(1)求椭圆的方程;

(2)已知定点,若直线与椭圆交于两点.问:是否存在的值,使以为直径的圆过点?请说明理由.

 

 

查看答案和解析>>

同步练习册答案