精英家教网 > 高中数学 > 题目详情
已知三棱柱ABC﹣A1B1C1,底面三角形ABC为正三角形,侧棱AA1⊥底面ABC,AB=2,AA1=4,E为AA1的中点,F为BC中点.
(1)求证:直线AF∥平面BEC1
(2)求平面BEC1和平面ABC所成的锐二面角的余弦值.
解:取B1C1中点为S,连接FS,以点F为坐标原点,FA为x轴,FB为y轴,FS为z轴建立空间直角坐标系,则


(1)则
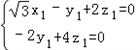
设平面BEC1的法向量为,则


令y1=2,则x1=0,z1=1,

所以
故直线AF∥平面BEC1
(2)设平面ABC的法向量,则

由于平面BEC1和平面ABC所成二面角是锐二面角所以其余弦值是
练习册系列答案
相关习题

科目:高中数学 来源: 题型:

已知三棱柱ABC-A?B?C?所有的棱长均为2,且侧棱与底面垂直,则该三棱柱的体积是
2
3
2
3

查看答案和解析>>

科目:高中数学 来源: 题型:

如图,已知三棱柱ABC-A1B1C1的所有棱长均为2,且A1A⊥底面ABC,D为AB的中点,G为△ABC1的重心,则|
CG
|的值为(  )

查看答案和解析>>

科目:高中数学 来源:2012-2013学年广东高二第二次月考文科数学试卷(解析版) 题型:填空题

已知三棱柱ABC-A´B´C´所有的棱长均为2,且侧棱与底面垂直,则该三棱柱的体积

            

 

查看答案和解析>>

科目:高中数学 来源:不详 题型:填空题

已知三棱柱ABC-A?B?C?所有的棱长均为2,且侧棱与底面垂直,则该三棱柱的体积是______.

查看答案和解析>>

科目:高中数学 来源:2012-2013学年广东省云浮市高二(上)12月月考数学试卷(文科)(解析版) 题型:填空题

已知三棱柱ABC-A´B´C´所有的棱长均为2,且侧棱与底面垂直,则该三棱柱的体积是   

查看答案和解析>>

同步练习册答案