精英家教网 > 高中数学 > 题目详情

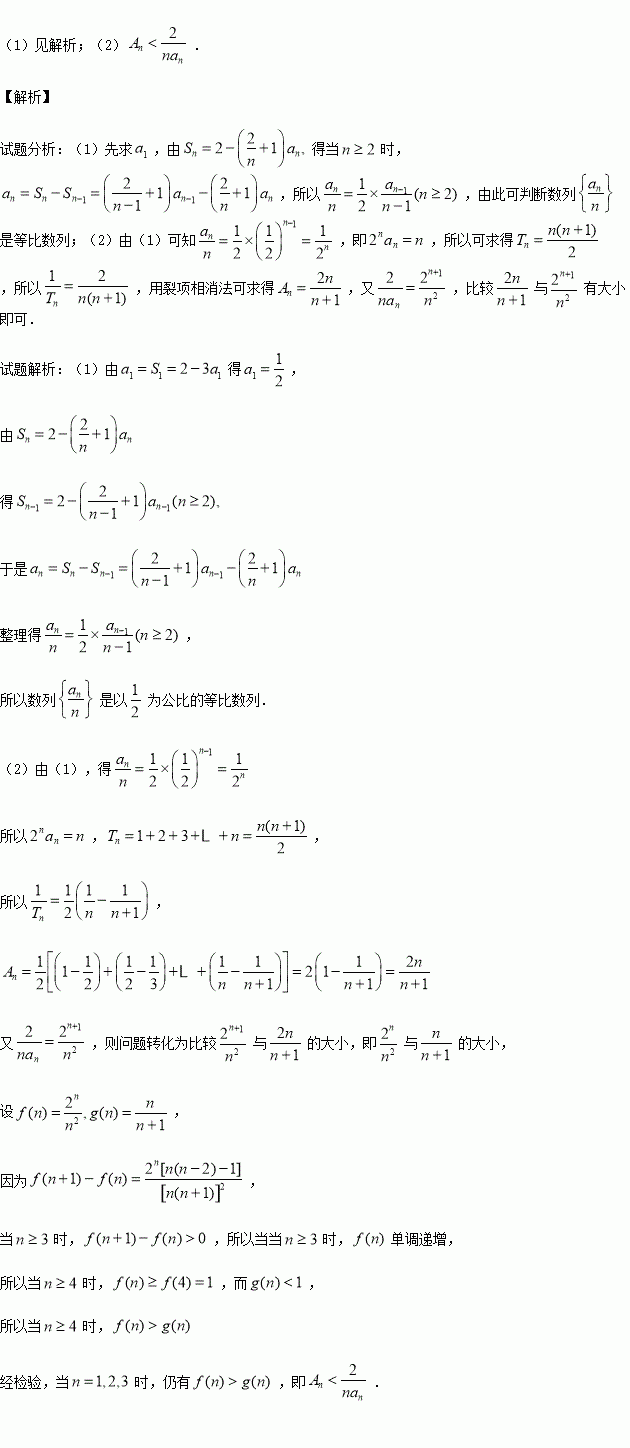
(本小题满分12分)已知数列的前项和为

(1)求证:数列是等比数列;

(2)设数列的前项和为,试比较的大小.

练习册系列答案
相关习题

科目:高中数学 来源:2015-2016学年安徽省高一上学期第一次调研考试数学试卷(解析版) 题型:填空题

表示三个数中最小值,则函数的最大值是

查看答案和解析>>

科目:高中数学 来源:2015-2016学年辽宁省高二上10月月考数学试卷(解析版) 题型:选择题

已知椭圆的左、右焦点分别为F1、F2,则,点A在椭圆上且,则椭圆的离心率为 ( )

A. B. C. D.

查看答案和解析>>

科目:高中数学 来源:2015-2016学年河北省高一10月月考数学试卷(解析版) 题型:选择题

下图所给4个图象中,与所给3件事吻合最好的顺序为( )

(1)小明离开家不久,发现自己把作业本忘在家里了,于是立刻返回家里取了作业本再上学;

(2)小明骑着车一路以常速行驶,只是在途中遇到一次交通堵塞,耽搁了一些时间;

(3)小明出发后,心情轻松,缓缓行进,后来为了赶时间开始加速.

A.(1)(2)(4) B.(4)(2)(3)

C.(4)(1)(3) D.(4)(1)(2)

查看答案和解析>>

科目:高中数学 来源:2015-2016学年河北衡水中学高二上二调考试文科数学试卷(解析版) 题型:解答题

(本小题满分12分)已知函数为常数),且方程有两个实根为

(1)求函数解析式;

(2)设,解关于的不等式

查看答案和解析>>

科目:高中数学 来源:2015-2016学年广东省高一10月月考数学试卷(解析版) 题型:解答题

(本小题满分12分)设函数是增函数,对于任意都有

(1)求

(2)证明是奇函数;

(3)解不等式

查看答案和解析>>

科目:高中数学 来源:2015-2016学年广东省高二10月月考数学试卷(解析版) 题型:填空题

用半径为的半圆形铁皮卷成一个圆锥的侧面,则此圆锥的体积是

查看答案和解析>>

科目:高中数学 来源:2016届山东省高三10月月考理科数学试卷(解析版) 题型:填空题

下列四个命题:

①命题“若,则”的否命题是“若,则”;

②若命题,则

③若命题“”与命题“”都是真命题,则命题一定是真命题;

④命题“若,则”是真命题.

其中正确命题的序号是 .(把所有正确的命题序号都填上)

查看答案和解析>>

科目:高中数学 来源:2016届黑龙江省牡丹江市高三10月月考文科数学试卷(解析版) 题型:选择题

已知向量,向量,且,则实数等于( )

A、 B、 C、 D、

查看答案和解析>>

同步练习册答案