精英家教网 > 高中数学 > 题目详情

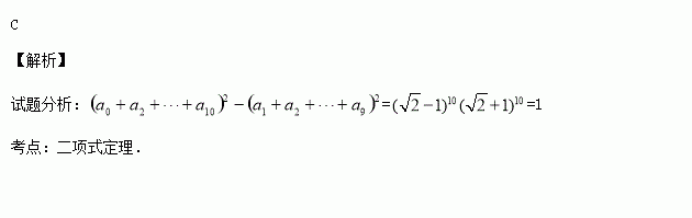
,则的值为( )

A.0 B.-1 C.1 D.

练习册系列答案
相关习题

科目:高中数学 来源:2014-2015学年山西大学附属中学高二3月月考数学试卷(解析版) 题型:填空题

已知抛物线,过其焦点且斜率为1的直线交抛物线于两点,若线段的中点的纵坐标为2,则该抛物线的准线方程为 .

查看答案和解析>>

科目:高中数学 来源:2014-2015学年内蒙古包头三十三中高一上学期期末考试文科数学试卷(解析版) 题型:解答题

(本小题满分12分)已知两直线l1:x+my+6=0 l2:(m-2)x+3my+2m=0

当m为何值时,l1与l2:

(1)平行;

(2)垂直;

查看答案和解析>>

科目:高中数学 来源:2014-2015学年内蒙古包头三十三中高一上学期期末考试文科数学试卷(解析版) 题型:选择题

已知集合,N=,若,则的值是( )

A. B. C. D.

查看答案和解析>>

科目:高中数学 来源:2014-2015学年吉林省高二下学期第一次月考理科数学试卷(解析版) 题型:填空题

袋中有大小相同的个红球,个白球,从中不放回地依次摸取球,在已知第一次取出白球的前提下,第二次取得红球的概率是

查看答案和解析>>

科目:高中数学 来源:2014-2015学年吉林省高二下学期第一次月考理科数学试卷(解析版) 题型:选择题

若随机变量,则等于( )

A. B. C. D.

查看答案和解析>>

科目:高中数学 来源:2014-2015学年湖南浏阳一中高二下学期第一次阶段测试文科数学试卷(解析版) 题型:解答题

已知曲线为参数),为参数).

(1)化的方程为普通方程,并说明它们分别表示什么曲线;

(2)若上的点对应的参数为上的动点,求中点到直线为参数)距离的最小值.

查看答案和解析>>

科目:高中数学 来源:2014-2015学年湖南浏阳一中高二下学期第一次阶段测试文科数学试卷(解析版) 题型:选择题

函数在定义域上的导函数是,若,且当时,,设,则 ( )

A. B. C. D.

查看答案和解析>>

科目:高中数学 来源:2014-2015学年河北省保定市高二3月月考文科数学试卷(解析版) 题型:选择题

双曲线C:的离心率为2,焦点到渐近线的距离为,则C的焦距等于( )

A.2 B. C.4 D.

查看答案和解析>>

同步练习册答案