精英家教网 > 高中数学 > 题目详情

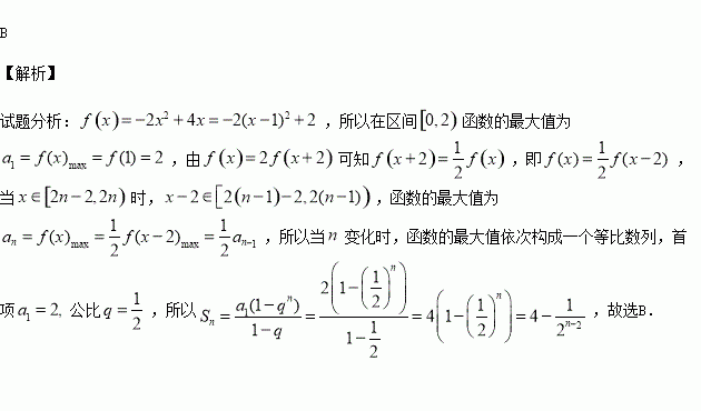
已知定义在上的函数满足,当时,,设上的最大值为),且的前项和为,则( )

A. B. C. D.

练习册系列答案
相关习题

科目:高中数学 来源:2015-2016学年河北省邯郸市等校高二上学期期中文科数学试卷(解析版) 题型:选择题

若点A的坐标为(3,2),F是抛物线y2=2x的焦点,点M在抛物线上移动时,使|MF|+|MA|取得最小值的M点的坐标为( )

A.(0,0) B. C. D.(2,2)

查看答案和解析>>

科目:高中数学 来源:2016届辽宁省大连市高三12月月考文科数学试卷(解析版) 题型:填空题

已知,则的值为

查看答案和解析>>

科目:高中数学 来源:2016届山东省枣庄市高三12月月考文科数学试卷(解析版) 题型:选择题

若存在正数使成立,则的取值范围是( )

A. B. C. D.

查看答案和解析>>

科目:高中数学 来源:2016届河北省邯郸市高三一轮收官考试一文科数学试卷(解析版) 题型:选择题

三棱柱中,侧棱底面,底面三角形是正三角形,中点,则下列叙述正确的是( )

A.是异面直线

B.平面

C.

D.平面

查看答案和解析>>

科目:高中数学 来源:2016届甘肃省高三上第四次月考文科数学试卷(解析版) 题型:填空题

若实数满足,则的取值范围是_________

查看答案和解析>>

科目:高中数学 来源:2016届甘肃省高三上第四次月考理科数学试卷(解析版) 题型:填空题

若定义在上的偶函数满足,且当时,,函数,则函数在区间内的零点的个数为

查看答案和解析>>

科目:高中数学 来源:2016届福建省高三上第二次月考文科数学试卷(解析版) 题型:填空题

若定义在上的函数满足,则不等式的解集为

查看答案和解析>>

科目:高中数学 来源:2015-2016学年江西省高一重点上期中数学卷(解析版) 题型:选择题

给定映射,在映射下,(3,1)的原像为( )

A.(1,3) B.(5,5) C.(3,1) D.(1,1)

查看答案和解析>>

同步练习册答案