精英家教网 > 高中数学 > 题目详情

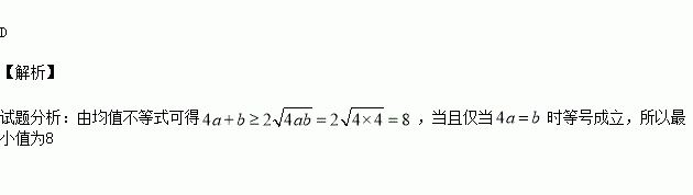
已知的最小值为( )

A.1 B.2 C.4 D.8

练习册系列答案
相关习题

科目:高中数学 来源:2015-2016学年湖北省高二上期中文科数学试卷(解析版) 题型:选择题

与双曲线有共同的渐近线,且经过点的双曲线的方程为( )

A. B.

C. D.

查看答案和解析>>

科目:高中数学 来源:2015-2016学年湖北省枣阳市高二10月月考理科数学试卷(解析版) 题型:填空题

某班委会由4名男生与3名女生组成,现从中选出2人担任正副班长,

其中至少有1名女生当选的概率是

查看答案和解析>>

科目:高中数学 来源:2015-2016学年辽宁省大连市高一上学期期中考试数学试卷(解析版) 题型:填空题

已知函数若存在实数使得的取值范围为

查看答案和解析>>

科目:高中数学 来源:2015-2016学年广东省英德市高二上学期第一次月考理科数学试卷(解析版) 题型:解答题

(本题满分12分)在直角坐标系中,点P到两点的距离之和等于4,设点P的轨迹为,直线与C交于A,B两点.

(1)写出C的方程;

(2)若,求k的值;

(3)若点A在第一象限,证明:当k>0时,恒有||>||.

查看答案和解析>>

科目:高中数学 来源:2015-2016学年广东省普宁市高一上学期期中考试数学试卷(解析版) 题型:选择题

下列各组向量中:① 其中能作为表示它们所在平面内所有向量的基底的是 ( )

A.① B.①③ C.②③ D.①②③

查看答案和解析>>

科目:高中数学 来源:2014-2015学年浙江省等三校高二上学期期中考试数学试卷(解析版) 题型:解答题

已知函数

(1)若对于任意的,都有成立,求实数的取值范围;

(2)如果关于x的不等式f(x)?m有解,求实数m的取值范围.

查看答案和解析>>

科目:高中数学 来源:2015-2016学年浙江省平湖市高一10月月考数学试卷(解析版) 题型:选择题

函数的值域是( )

A. B. C. D.

查看答案和解析>>

科目:高中数学 来源:2015-2016学年福建厦门双十中学高二上期中理科数学试卷(解析版) 题型:选择题

若m<n,p<q且(p-m)(p-n)<0,(q-m)(q-n)<0,则m,n,p,q从小到大排列顺序是( )

A.p<m<n<q B.m<p<q<n C.p<q<m<n D.m<n<p<q

查看答案和解析>>

同步练习册答案