精英家教网 > 高中数学 > 题目详情
将边长为1m正三角形薄片,沿一条平行于底边的直线剪成两块,其中一块是梯形,记,则S的最小值是   
【答案】分析:先设剪成的小正三角形的边长为x表示出S的解析式,然后求S的最小值,
方法一:对函数S进行求导,令导函数等于0求出x的值,根据导函数的正负判断函数的单调性进而确定最小值;
方法二:令3-x=t,代入整理根据一元二次函数的性质得到最小值.
解答:解:设剪成的小正三角形的边长为x,则:
(方法一)利用导数求函数最小值.

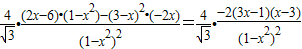
=

时,S′(x)<0,递减;当时,S′(x)>0,递增;
故当时,S的最小值是
(方法二)利用函数的方法求最小值.

则:
故当时,S的最小值是
点评:考查函数中的建模应用,等价转化思想.一题多解.
练习册系列答案
相关习题

科目:高中数学 来源: 题型:

将边长为1m正三角形薄片,沿一条平行于底边的直线剪成两块,其中一块是梯形,记S=
(梯形的周长)2梯形的面积
,则S的最小值是
 

查看答案和解析>>

科目:高中数学 来源: 题型:

将边长为1m正三角形薄片,沿一条平行于底边的直线剪成两块,其中一块是梯形,记,则S的最小值是____▲____

查看答案和解析>>

科目:高中数学 来源:2011-2012学年河南省南阳一中高三(下)第六次周考数学试卷(理科)(解析版) 题型:填空题

将边长为1m正三角形薄片,沿一条平行于底边的直线剪成两块,其中一块是梯形,记,则S的最小值是   

查看答案和解析>>

科目:高中数学 来源:2011年高三数学一轮精品复习学案:2.6 函数应用(解析版) 题型:解答题

将边长为1m正三角形薄片,沿一条平行于底边的直线剪成两块,其中一块是梯形,记,则S的最小值是   

查看答案和解析>>

科目:高中数学 来源:2010年高考试题(江苏版)解析版 题型:填空题

 将边长为1m正三角形薄片,沿一条平行于底边的直线剪成两块,其中一块是梯形,记,则S的最小值是____▲____

 

 

查看答案和解析>>

同步练习册答案