精英家教网 > 高中数学 > 题目详情

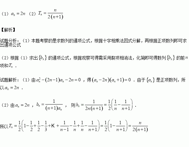
(本小题满分12分)正项数列满足

(1)求数列的通项公式

(2)令,求数列的前项和

练习册系列答案
相关习题

科目:高中数学 来源:2015-2016学年河北省高一10月月考数学试卷(解析版) 题型:填空题

已知上的增函数,那么实数的取值范围是________.

查看答案和解析>>

科目:高中数学 来源:2015-2016学年广东省高一下学期期初考试数学试卷(解析版) 题型:选择题

已知函数f(x)的定义域为,则函数的定义域( )

A. B. C. D.

查看答案和解析>>

科目:高中数学 来源:2015-2016学年安徽省合肥市高二上开学考试理科数学试卷(解析版) 题型:选择题

的值为

A.-4 B.4 C.2 D.-2

查看答案和解析>>

科目:高中数学 来源:2015-2016学年甘肃天水秦安二中高二上学期第一次月考文科数学试卷(解析版) 题型:填空题

一个总体分为A,B两层,用分层抽样方法从总体中抽取一个容量为10的样本,已知B层中每个个体被抽到的可能性都为,则总体中的个数为________.

查看答案和解析>>

科目:高中数学 来源:2015-2016学年河北省高二上学期第一次月考试数学试卷(解析版) 题型:解答题

(12分)如图,在凸四边形中,为定点,,为动点,满足

(1)写出的关系式;

(2)设△BCD和△ABD的面积分别为,求的最大值.

查看答案和解析>>

科目:高中数学 来源:2015-2016学年广东省高二9月阶段测试文科数学试卷(解析版) 题型:填空题

在△ABC中,如果,那么等于

查看答案和解析>>

科目:高中数学 来源:2015-2016学年陕西省西安市高一第一次月考数学试卷(解析版) 题型:选择题

全集U={0,1,3,5,6,8},集合A={ 1,5, 8 }, B ={2},则集合( )

A.{0,2,3,6} B.{ 0,3,6} C.{2,1,5,8} D.

查看答案和解析>>

科目:高中数学 来源:2015-2016学年湖北省高二上学期第一次月考文科数学试卷(解析版) 题型:填空题

若直线的图像关于直线对称,则

查看答案和解析>>

同步练习册答案