精英家教网 > 高中数学 > 题目详情

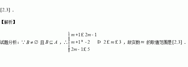
已知,则的取值范围是

练习册系列答案
相关习题

科目:高中数学 来源:2014-2015学年山西省高二下学期期中文科数学试卷(解析版) 题型:解答题

(本小题12分)已知极坐标系的极点与直角坐标系的原点重合,极轴与轴的正半轴重合.若直线的极坐标方程为

(1)把直线的极坐标方程化为直角坐标系方程;

(2)已知为椭圆上一点,求到直线的距离的最大值。

查看答案和解析>>

科目:高中数学 来源:2014-2015学年贵州省高二上学期期中理科数学试卷(解析版) 题型:填空题

若双曲线的顶点为椭圆长轴的端点,且双曲线的离心率与该椭圆的离心率的积为1,则双曲线的方程是

查看答案和解析>>

科目:高中数学 来源:2016届西藏日喀则一中高三10月检测理科数学试卷(解析版) 题型:填空题

设随机变量,若,则

查看答案和解析>>

科目:高中数学 来源:2015-2016学年重庆市高一10月月考数学试卷(解析版) 题型:选择题

设函数满足,则的表达式为( )

A. B. C. D.

查看答案和解析>>

科目:高中数学 来源:2015-2016学年山西康杰中学高一上学期期中考试数学试卷(解析版) 题型:选择题

已知函数,若实数是方程的解,且,则的取值是

A.恒为负 B.等于零 C.恒为正 D.不小于零

查看答案和解析>>

科目:高中数学 来源:2015-2016学年江西新余一中高一上第一次段考数学试卷(解析版) 题型:选择题

已知集合,则下列式子表示不正确的是( )

A. B. C. D.

查看答案和解析>>

科目:高中数学 来源:2015-2016学年湖北宜昌一中高二上学期期中理科数学试卷(解析版) 题型:选择题

“若x2=1,则x=1”的否命题为

A.若x2≠1,则x=1

B.若x2=1,则x≠1

C.若x2≠1,则x≠1

D.若x≠1,则x2≠1

查看答案和解析>>

科目:高中数学 来源:2015-2016年重庆巴蜀中学高一上学期10月月考数学试卷(解析版) 题型:解答题

(13分)已知函数f(x)=

(1)求f(1)+f(2)+f(3)+f()+f()的值;

(2)求f(x)的值域.

查看答案和解析>>

同步练习册答案