精英家教网 > 高中数学 > 题目详情

(本小题满分12分)

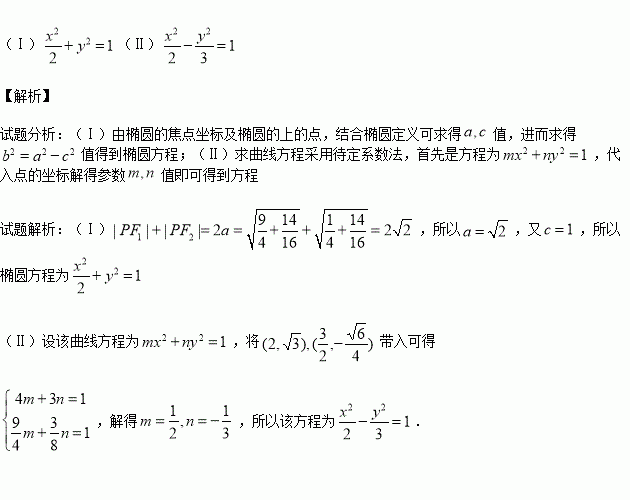
(Ⅰ)已知某椭圆的左右焦点分别为,且经过点,求该椭圆的标准方程;

(Ⅱ)某圆锥曲线以坐标轴为对称轴,中心为坐标原点,且过点,求该曲线的标准方程;

练习册系列答案
相关习题

科目:高中数学 来源:2015-2016学年江苏省无锡市四校高二上学期期中考试数学试卷(解析版) 题型:填空题

命题“?x∈R,x2+x+1≥0”的否定是

查看答案和解析>>

科目:高中数学 来源:2015-2016学年福建省高一上学期期中考试数学试卷(解析版) 题型:选择题

已知为奇函数,当时,,则上是( )

A.增函数,最小值为 B.增函数,最大值为

C.减函数,最小值为 D.减函数,最大值为

查看答案和解析>>

科目:高中数学 来源:2014-2015学年上海市高二下学期期末考试数学试卷(解析版) 题型:填空题

已知,则

查看答案和解析>>

科目:高中数学 来源:2015-2016学年山东省临沂市高二上期中模拟理数学试卷(解析版) 题型:填空题

下列命题成立的是 .(写出所有正确命题的序号).

②当时,函数,∴当且仅当取最小值;

③当时,

④当时,的最小值为

查看答案和解析>>

科目:高中数学 来源:2015-2016学年辽宁省大连市高二上期中理科数学试卷(解析版) 题型:解答题

(本小题满分12分)

已知动点在双曲线上,定点,求的最小值以及取最小值时点的横坐标.

查看答案和解析>>

科目:高中数学 来源:2015-2016学年江西省等三校高二上第一次联考数学试卷(解析版) 题型:填空题

与直线2x+3y+5=0平行,且在两坐标轴上截距的和为6的直线方程是________

查看答案和解析>>

科目:高中数学 来源:2015-2016学年湖南省高一上学期期中考试数学试卷(解析版) 题型:选择题

函数y=|lg(x+1)|的图象是 ( )

查看答案和解析>>

科目:高中数学 来源:2016届云南省玉溪市高三上学期期中文科数学试卷(解析版) 题型:解答题

选修4—5:不等式选讲(本小题满分10分)

已知函数

(1)解不等式

(2)若关于的不等式恒成立,求实数的取值范围.

查看答案和解析>>

同步练习册答案