精英家教网 > 高中数学 > 题目详情

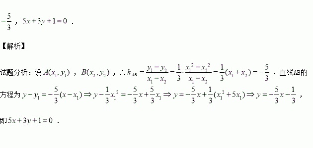
已知抛物线上两点A,B的横坐标恰是方程的两个实根,则直线AB的斜率= ;直线AB的方程为

练习册系列答案
相关习题

科目:高中数学 来源:2015-2016学年上海师大附中高二上期中数学试卷(解析版) 题型:选择题

已知关于的二元一次线性方程组的增广矩阵为,记,则此线性方程组有无穷多组解的充要条件是( )

(A)

(B)两两平行

(C)

(D)方向都相同

查看答案和解析>>

科目:高中数学 来源:2015-2016学年江西省吉安市高二上二段考理科数学卷(解析版) 题型:解答题

已知函数

(1)当时,求的极值;

(2)令,求函数的单调减区间;

(3)如果是函数的两个零点,且的导函数,证明:

查看答案和解析>>

科目:高中数学 来源:2015-2016学年广西省高一上段考数学试卷(解析版) 题型:解答题

已知二次函数满足

(1)求的解析式;

(2)设,求的最大值.

查看答案和解析>>

科目:高中数学 来源:2015-2016学年青海省西宁市高一上期中数学试卷(解析版) 题型:填空题

范围内,与终边相同的最小正角是 ,是第 象限角.

查看答案和解析>>

科目:高中数学 来源:2015-2016学年山西省高二11月月考文科数学卷(解析版) 题型:填空题

已知,设:函数在R上递减;:函数的最小值小于.如果“”为真,且“”为假,则实数的取值范围为_____.

查看答案和解析>>

科目:高中数学 来源:2015-2016学年山西省高二11月月考理科数学卷(解析版) 题型:选择题

已知三个互不重合的平面,且,给出下列命题:①,则

②若,则

③若,则

④ 若,则,其中正确命题的个数为( )

A.1 B.2 C.3 D.4

查看答案和解析>>

科目:高中数学 来源:2015-2016学年江西省高二上第三次文科数学试卷(解析版) 题型:选择题

已知双曲线的中心在原点,两个焦点分别为,点在双曲线上且,且的面积为1,则双曲线的方程为( )

A. B. C. D.

查看答案和解析>>

科目:高中数学 来源:2015-2016学年辽宁师大附中高一上12月月考数学试卷(解析版) 题型:解答题

如图所示,圆锥的轴截面为等腰直角△SAB,Q为底面圆周上一点.

(Ⅰ)若QB的中点为C,OH⊥SC,求证:OH⊥平面SBQ;

(Ⅱ)如果∠AOQ=60°,QB=2,求此圆锥的体积和侧面积.

查看答案和解析>>

同步练习册答案