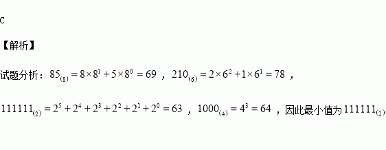
精英家教网 > 高中数学 > 题目详情

下列各进制数中值最小的是( )

A. B. C. D.

练习册系列答案
相关习题

科目:高中数学 来源:2015-2016学年江苏启东中学高二上学期期中理科数学试卷(解析版) 题型:填空题

椭圆上的一点到两焦点的距离的乘积为,则当取最大值时,点的坐标是

查看答案和解析>>

科目:高中数学 来源:2015-2016学年内蒙古巴彦淖尔市高一10月月考数学试卷(解析版) 题型:填空题

函数的定义域为________

查看答案和解析>>

科目:高中数学 来源:2015-2016学年湖北省黄石市高一10月月考数学试卷(解析版) 题型:选择题

已知定义在R上的偶函数f(x)满足:对任意x1,x2∈(-∞,0](x1≠x2),都有则( )

A.f(-5)<f(4)<f(6)

B.f(4)<f(-5)<f(6)

C.f(6)<f(-5)<f(4)

D.f(6)<f(4)<f(-5)

查看答案和解析>>

科目:高中数学 来源:2015-2016学年河北省高一10月月考数学试卷(解析版) 题型:选择题

设M={x|0≤x≤2},N={y|0≤y≤2},给出下列四个图形,其中能表示从集合M到集合N的函数关系的有( )

查看答案和解析>>

科目:高中数学 来源:2015-2016学年河北省唐山市高一10月月考数学试卷(解析版) 题型:选择题

函数的单调递减区间是( )

A、 B、

C、 D、

查看答案和解析>>

科目:高中数学 来源:2015-2016学年广东省普宁市高二上期中考试理科数学试卷(解析版) 题型:解答题

(本小题14分)已知直线与椭圆相交于A、B两点,

且线段AB的中点在直线上.

(1)求此椭圆的离心率;

(2)若椭圆的右焦点关于直线的对称点的在圆上,求此椭圆的方程.

查看答案和解析>>

科目:高中数学 来源:2015-2016学年广东省高一上学期期中考试数学试卷(解析版) 题型:选择题

已知全集,且,则等于( )

A.{4} B.{4,5} C.{1,2,3,4} D.{2,3}

查看答案和解析>>

科目:高中数学 来源:2016届山东师大附中高三上学期二模理科数学试卷(解析版) 题型:选择题

设函数下列结论正确的是( )

A.

B.

C.上递减,无极值

D.上递增,无极值

查看答案和解析>>

同步练习册答案