精英家教网 > 高中数学 > 题目详情

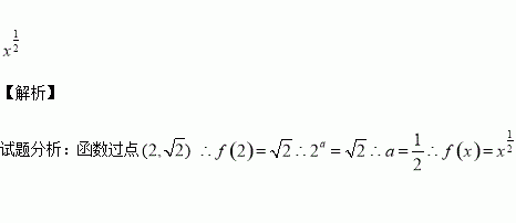
已知幂函数的图象过,则

练习册系列答案
相关习题

科目:高中数学 来源:2015-2016学年辽宁省大连市高一上学期期中考试数学试卷(解析版) 题型:选择题

已知函数 (其中)的图象如右图所示,则函数的图象是( )

查看答案和解析>>

科目:高中数学 来源:2015-2016学年浙江省平湖市高一10月月考数学试卷(解析版) 题型:选择题

如图,函数的图象为折线ABC,设则函数的图象为( )

查看答案和解析>>

科目:高中数学 来源:2015-2016学年四川成都市六校高二上学期期中联考文科数学试卷(解析版) 题型:选择题

已知圆,从点发出的光线,经轴反射后恰好经过圆心,则入射光线的斜率为

A. B. C. D.

查看答案和解析>>

科目:高中数学 来源:2015-2016学年四川成都市六校高二上学期期中联考理科数学试卷(解析版) 题型:选择题

已知点A和B在直线的两侧,则直线倾斜角的取值范围是

A. B. C. D.

查看答案和解析>>

科目:高中数学 来源:2015-2016学年湖北省宜昌市高一上学期期中考试数学试卷(解析版) 题型:选择题

下列四组函数,表示同一函数的是 ( )

A.f(x)=,g(x)=x

B.f(x)=x,g(x)=

C.f(x)=,g(x)=

D.f(x)=|x+1|,g(x)=

查看答案和解析>>

科目:高中数学 来源:2015-2016学年广东省普宁市高一上学期期中考试数学试卷(解析版) 题型:解答题

(本小题14分)已知函数

(1)求证:无论为何实数总是增函数;

(2)确定的值,使为奇函数;

(3)当为奇函数时,求的值域.

查看答案和解析>>

科目:高中数学 来源:2015-2016学年福建三明一中高二上第二次月考文数学卷(解析版) 题型:选择题

已知中心在原点,焦点在轴的双曲线的渐近线方程为,则此双曲线的离心率为( )

A. B. C. D.

查看答案和解析>>

科目:高中数学 来源:2015-2016学年云南省蒙自市高二10月月考理科数学试卷(解析版) 题型:选择题

已知是等差数列,若,则

A. B. C. D.

查看答案和解析>>

同步练习册答案