精英家教网 > 高中数学 > 题目详情

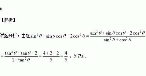
已知,则( )

A. B. C. D.

练习册系列答案
相关习题

科目:高中数学 来源:2016届山东省高三10月月考文科数学试卷(解析版) 题型:选择题

,则下列不等式中不成立的是( )

A. B. C. D.

查看答案和解析>>

科目:高中数学 来源:2016届黑龙江省牡丹江市高三10月月考理科数学试卷(解析版) 题型:填空题

已知是圆心在坐标原点的单位圆上的两点,分别位于第一象限和第四象限,且 点的纵坐标为点的横坐标为,则

查看答案和解析>>

科目:高中数学 来源:2016届河北省高三上学期三调考试文科数学试卷(解析版) 题型:填空题

中,,则的最大值为

查看答案和解析>>

科目:高中数学 来源:2016届河北省高三上学期三调考试理科数学试卷(解析版) 题型:选择题

在数列中,,若,则等于( )

A.

B.

C.

D.

查看答案和解析>>

科目:高中数学 来源:2016届河北省高三二调理科数学试卷(解析版) 题型:选择题

已知向量是单位向量,若,且,则的取值范围是( )

A. B. C. D.

查看答案和解析>>

科目:高中数学 来源:2015-2016学年广东中山一中高二上第一次段考文科数学卷(解析版) 题型:选择题

等比数列中, 的前项和为( )

A. B. C. D.

查看答案和解析>>

科目:高中数学 来源:2015-2016学年黑龙江省牡丹江市高一上学期9月月考数学试卷(解析版) 题型:选择题

已知集合,且,则满足条件的实数有( )

A.1 个 B. 2 个 C.3个 D.4个

查看答案和解析>>

科目:高中数学 来源:2015-2016学年广东省清远市实验学校高二10月月考数学试卷(解析版) 题型:选择题

在R上定义运算⊙:a⊙b=ab+2a+b,则满足x⊙(x-2)<0的实数x的取值范围为( ).

A.(0,2) B.(-2,1)

C.(-∞,-2)∪(1,+∞) D.(-1,2)

查看答案和解析>>

同步练习册答案