精英家教网 > 高中数学 > 题目详情

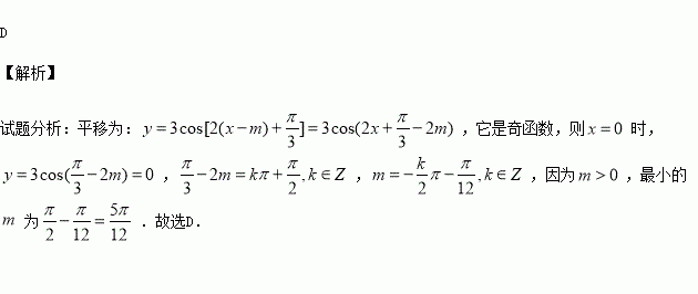
将函数的图像向右平移个长度单位后,所得到的图像关于原点对称,则的最小值是

A. B. C. D.

练习册系列答案
相关习题

科目:高中数学 来源:2017届湖北襄阳五中高三上学期开学考数学(理)试卷(解析版) 题型:选择题

已知直线与圆交于两点,则( )

A. B. C. D.

查看答案和解析>>

科目:高中数学 来源:2017届宁夏高三上学期月考一数学(理)试卷(解析版) 题型:填空题

的定义域是

查看答案和解析>>

科目:高中数学 来源:2017届宁夏高三上学期月考一数学(文)试卷(解析版) 题型:解答题

已知函数,其中

(1)若x=2是函数f(x)的极值点,求在(1,h(1))处的切线方程;

(2)若对任意的为自然对数的底数)都有成立,求实数的取值范围.

查看答案和解析>>

科目:高中数学 来源:2017届宁夏高三上学期月考一数学(文)试卷(解析版) 题型:填空题

将函数的图像向右平移个周期后,所得图像对应的函数为_________.

查看答案和解析>>

科目:高中数学 来源:2017届宁夏高三上学期月考一数学(文)试卷(解析版) 题型:选择题

已知是第三象限角,,则=

A. B. C. D.

查看答案和解析>>

科目:高中数学 来源:2016-2017学年河北武邑中学高一上周考9.18数学试卷(解析版) 题型:填空题

设函数,当时,的值有正有负,则实数的范围_________.

查看答案和解析>>

科目:高中数学 来源:2016-2017学年河北武邑中学高一上周考9.18数学试卷(解析版) 题型:选择题

函数的图象是( )

查看答案和解析>>

科目:高中数学 来源:2016-2017学年河南许昌市五校高二上学期联考一数学(理)试卷(解析版) 题型:选择题

下列命题中错误的是( )

A.如果,那么内一定存在直线平行于平面

B.如果,那么内所有直线都垂直于平面

C.如果平面不垂直平面,那么内一定不存在直线垂直于平面

D.如果,那么

查看答案和解析>>

同步练习册答案