精英家教网 > 高中数学 > 题目详情
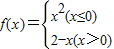
已知函数,试解答下列问题:
①求f[f(-2)]的值.
②求方程f(x)=的解.
【答案】分析:①已知f(x)为分段函数,把x=-2代入相对应的函数值,然后再进行代入,从而求解;
②分成两种情况:x≤0;x>0,从而代入f(x)求方程的解;
解答:解:①∵函数
f[f(-2)]=f[4]=-2
②当

综上所述,
点评:此题主要考查分段函数的性质,利用了分类讨论的思想,是一道基础题;
练习册系列答案
相关习题

科目:高中数学 来源: 题型:

(2012•厦门模拟)已知函数f(x)=21nx+ax2-1 (a∈R)
(I)求函数f(x)的单调区间;
(Ⅱ)若a=l,试解答下列两小题.
(i)若不等式f(1+x)+f(1-x)<m对任意的0<x<l恒成立,求实数m的取值范围;
(ii)若x1,x2是两个不相等的正数,且以f(x1)+f(x2)=0,求证:x1+x2>2.

查看答案和解析>>

科目:高中数学 来源:河南省期中题 题型:解答题

已知函数,试解答下列问题:
(1)求f[f(-2)]的值;
(2)求方程f(x)=x的解。

查看答案和解析>>

科目:高中数学 来源:2012-2013学年湖北省随州市广水一中高一(上)期中数学试卷(解析版) 题型:解答题

已知函数,试解答下列问题:
①求f[f(-2)]的值.
②求方程f(x)=的解.

查看答案和解析>>

科目:高中数学 来源:2012-2013学年湖北省随州市广水一中高一(上)期中数学试卷(解析版) 题型:解答题

已知函数,试解答下列问题:
①求f[f(-2)]的值.
②求方程f(x)=的解.

查看答案和解析>>

同步练习册答案