精英家教网 > 高中数学 > 题目详情
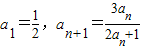
已知{an}满足,则 通项为( )
A.
B.
C.
D.
【答案】分析:,可得-1=-1),因而可知数列{}是首项为-1=1,公比为的等比数列,进而求出结论.
解答:解:由
可得
-1=-1),
可得数列{}是首项为-1=1,公比为的等比数列,
-1=1•
=+1.
故选:A.
点评:此题主要考查利用数列的特征转变成数列的递推公式形式的,间接的求出所需要的数列通项公式.
练习册系列答案
相关习题

科目:高中数学 来源: 题型:填空题

已知{an}满足数学公式,则a6-a5的值为________.

查看答案和解析>>

科目:高中数学 来源: 题型:单选题

已知{an}满足数学公式,则数学公式 通项为


  1. A.
    数学公式
  2. B.
    数学公式
  3. C.
    数学公式
  4. D.
    数学公式

查看答案和解析>>

科目:高中数学 来源:2011-2012学年浙江省杭州地区七校联考高三(上)期中数学试卷(文科)(解析版) 题型:填空题

已知{an}满足,则a6-a5的值为   

查看答案和解析>>

科目:高中数学 来源:2010-2011学年北京市东城区东直门中学高三数学提高测试试卷3(文科)(解析版) 题型:填空题

已知{an}满足,则a6-a5的值为   

查看答案和解析>>

同步练习册答案