已知f(x)=ax2+bx+c(其中a>b>c,a+b+c=0),当0<x<1时,f(x)的值为( )
A.负数
B.正数
C.0
D.无法确定
【答案】
分析:由已知可得c<0<a,所以

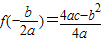
≤c,f(0)=c<0,f(1)=a+b+c=0,通过对

与0,1相比较讨论即可得出答案.
解答:解:∵a>b>c,a+b+c=0,∴3c<a+b+c=0<3a,∴c<0<a.∴此二次函数的图象抛物线开口向上.
∵

≤c,f(0)=c<0,f(1)=a+b+c=0,
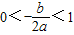
①若

,又函数y在区间

上单调递增,
∴函数y在区间(0,1)上单调递增,故当0<x<1时,f(x)<0.
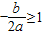
②若

,则函数y在区间

上单调递减;在区间

上单调递增.
∴当0<x<1时,f(x)<f(0)=c<0,f(x)<f(1)=0,即f(x)<0.
③当

时,不适合题意,应舍去.
综上可知:当0<x<1时,f(x)<0.
故选A.
点评:正确理解二次函数的单调性和根据条件判断出a、b、c的符号是解题的关键.