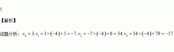
精英家教网 > 高中数学 > 题目详情

用秦九韶算法计算多项式的值时,值为( )

A.-845 B .220 C.-57 D.34

练习册系列答案
相关习题

科目:高中数学 来源:2016届云南师范大附中高考适应性月考三文科数学试卷(解析版) 题型:填空题

中,点的重心,若存在实数,使得成立,则等于

查看答案和解析>>

科目:高中数学 来源:2016届湖南省长沙市高三月考三文科数学试卷(解析版) 题型:选择题

已知方程有两个不同的解α,β(α<β),则下面结论正确的是( )

A.

B.

C.

D.

查看答案和解析>>

科目:高中数学 来源:2015-2016学年福建省高一上第二次月考数学试卷(解析版) 题型:选择题

为定义域R,图象关于原点对称,当时, (为常数),则

时,解析式为( )

A、

B、

C、

D、

查看答案和解析>>

科目:高中数学 来源:2016届浙江省临海市高三上第三次统练文科数学试卷(解析版) 题型:选择题

已知平面向量满足),且

A.若,则

B.若,则

C.若,则

D.若,则

查看答案和解析>>

科目:高中数学 来源:2015-2016学年河北省邯郸市等校高二上学期期中文科数学试卷(解析版) 题型:选择题

若点A的坐标为(3,2),F是抛物线y2=2x的焦点,点M在抛物线上移动时,使|MF|+|MA|取得最小值的M点的坐标为( )

A.(0,0) B. C. D.(2,2)

查看答案和解析>>

科目:高中数学 来源:2015-2016学年河北省邯郸市等校高二上学期期中文科数学试卷(解析版) 题型:选择题

已知数列-1, ,-4成等差数列,-1,b1,b2,b3,-4成等比数列,则的值为( )

A. B.- C.或- D.

查看答案和解析>>

科目:高中数学 来源:2015-2016学年湖南省高二上学期期中考试文科数学试卷(解析版) 题型:选择题

给出如下三个命题:

①设a,bR,且>1,则<1;

②四个非零实数a、b、c、d依次成等比数列的充要条件是ad=bc;

③在ΔABC中,A>B的充要条件是sinA>sinB.

其中正确命题的序号是( )

(A)①② (B)②③ (C)①③ (D)①②③

查看答案和解析>>

科目:高中数学 来源:2016届河北省邯郸市高三一轮收官考试一文科数学试卷(解析版) 题型:选择题

三棱柱中,侧棱底面,底面三角形是正三角形,中点,则下列叙述正确的是( )

A.是异面直线

B.平面

C.

D.平面

查看答案和解析>>

同步练习册答案