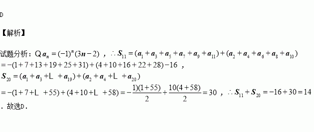
精英家教网 > 高中数学 > 题目详情

数列的前项和为,则( )

A. B.30 C.28 D.14

练习册系列答案
相关习题

科目:高中数学 来源:2015-2016学年河北武邑中学高一下4.17周考数学试卷(解析版) 题型:填空题

如图,一不规则区域内,有一边长为1米的正方形,向区域内随机地撒1000颗黄豆,数得落在正方形区域内(含边界)的黄豆数400颗,以此实验数据为依据可以估计出该不规则图形的面积为________平方米.(用分数作答)

查看答案和解析>>

科目:高中数学 来源:2015-2016学年重庆十八中高一下期中理科数学试卷(解析版) 题型:解答题

已知

(1)求的夹角;

(2)求的夹角的余弦值.

查看答案和解析>>

科目:高中数学 来源:2015-2016学年重庆十八中高一下期中理科数学试卷(解析版) 题型:选择题

,则下列不等式成立的是( )

A. B.

C. D.

查看答案和解析>>

科目:高中数学 来源:2015-2016学年广东实验中学高一下期中数学试卷(解析版) 题型:填空题

若数列满足,且,则通项________________.

查看答案和解析>>

科目:高中数学 来源:2015-2016学年广东实验中学高一下期中数学试卷(解析版) 题型:选择题

中,若,则一定是( )

A.直角三角形 B.等边三角形

C.等腰三角形 D.等腰或直角三角形

查看答案和解析>>

科目:高中数学 来源:2015-2016学年江苏省高一下期中数学试卷(解析版) 题型:解答题

已知等差数列的公差为-1,且.

(1)求数列的通项公式与前项和

(2)将数列的前四项抽去其中一项后,剩下三项按原来顺序恰为等比数列的前3项,记的前项和为,若存在,使对任意,总有恒成立,求实数的取值范围.

查看答案和解析>>

科目:高中数学 来源:2015-2016学年江苏省高一下期中数学试卷(解析版) 题型:填空题

若正项等比数列满足,则公比________.

查看答案和解析>>

科目:高中数学 来源:2015-2016学年黑龙江大庆市高一下期中文数学卷(解析版) 题型:选择题

下列不等式一定成立的是( )

A. B.sin x+≥2

C. D.>1(x∈R)

查看答案和解析>>

同步练习册答案