精英家教网 > 高中数学 > 题目详情

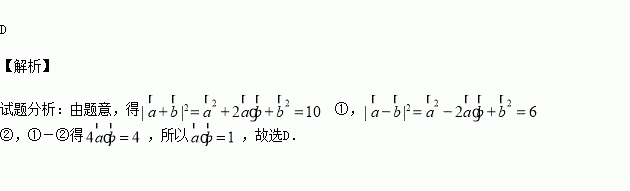
已知向量满足,则( )

A. B. C. D.

练习册系列答案
相关习题

科目:高中数学 来源:2015-2016学年重庆市高二上第一次月考理科数学试卷(解析版) 题型:选择题

执行如图所示的程序框图,如果输入的是10,那么输出的是( )

A. B. C. D.

查看答案和解析>>

科目:高中数学 来源:2015-2016学年湖北省宜昌市高二上期中文科数学试卷(解析版) 题型:填空题

一个总体的60个个体的编号为0,1,2,3,…,59,现采用系统抽样的方法从中抽取一个容量为10的样本,请根据编号被6除余数为3的方法取组样本,则抽取的样本最大的一个号码为

查看答案和解析>>

科目:高中数学 来源:2015-2016学年广东省普宁市高二上期中文科数学试卷(解析版) 题型:填空题

在吸烟与患肺病这两个分类变量的计算中,“若的观测值为6.635,我们有99%的把握认为吸烟与患肺病有关系”这句话的意思:

①是指“在100个吸烟的人中,必有99个人患肺病

②是指“有1%的可能性认为推理出现错误”;

③是指“某人吸烟,那么他有99%的可能性患有肺病”;

④是指“某人吸烟,如果他患有肺病,那么99%是因为吸烟”。

其中正确的解释是

查看答案和解析>>

科目:高中数学 来源:2015-2016学年广东省普宁市高二上期中理科数学试卷(解析版) 题型:选择题

下列函数中,为奇函数的是

A. B.

C. D.

查看答案和解析>>

科目:高中数学 来源:2016届重庆市高三上学期第三次月考理科数学试卷(解析版) 题型:选择题

,若函数内有4个零点,则实数的取值范围是( )

A. B. C. D.

查看答案和解析>>

科目:高中数学 来源:2016届云南省玉溪市高三上学期期中文科数学试卷(解析版) 题型:选择题

已知程序框图如图,若,则输出的数是( )

A. B. C. D.

查看答案和解析>>

科目:高中数学 来源:2016届辽宁省葫芦岛市高三上学期期中理科数学试卷(解析版) 题型:选择题

下列结论错误的是( )

A.命题“若,则”的逆否命题是“若,则

B.命题“若,则方程有实根”的逆命题为真命题

C.“”是“”的充分条件

D.命题“若,则”的否命题是“若,则

查看答案和解析>>

科目:高中数学 来源:2015-2016学年吉林省高一上学期期中数学试卷(解析版) 题型:解答题

(本小题12分)已知函数

(Ⅰ)求函数g(x)的值域;

(Ⅱ)解方程:

查看答案和解析>>

同步练习册答案