精英家教网 > 高中数学 > 题目详情

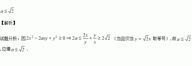
不等式对任意及任意恒成立,则实数a取值范围是

练习册系列答案
相关习题

科目:高中数学 来源:2016-2017学年河北武邑中学高二上周考9.4文数学试卷(解析版) 题型:选择题

图1是由哪个平面图形旋转得到的( )

查看答案和解析>>

科目:高中数学 来源:2016-2017学年河北武邑中学高二上周考8.28文数试卷(解析版) 题型:选择题

如图所示的直观图是将直方图模型放置在你的水平视线的左上角而绘制的,其中正确的是( )

查看答案和解析>>

科目:高中数学 来源:2016-2017学年河北武邑中学高二上周考8.28理数试卷(解析版) 题型:选择题

设不等式组表示的平面区域为,在区域内随机取一个点,则此点到坐标原点的距离大于2的概率是( )

A. B. C. D.

查看答案和解析>>

科目:高中数学 来源:2015-2016学年天津静海县一中等高二下期末文数学试卷(解析版) 题型:解答题

已知函数

(Ⅰ)求函数 的最小正周期T及在上的单调递减区间;

(Ⅱ)若关于x的方程,在区间 上且只有一个实数解,求实数k的取值范围.

查看答案和解析>>

科目:高中数学 来源:2015-2016学年天津静海县一中等高二下期末文数学试卷(解析版) 题型:选择题

已知函数,若关于x的不等式的解集中的整数恰有3个,则实数m的取值范围为( )

A.3<m<6 B. 1<m<3

C. 0<m<1 D.-1<m<0

查看答案和解析>>

科目:高中数学 来源:2015-2016学年天津静海县一中等高二下期末文数学试卷(解析版) 题型:填空题

已知集合U=R,集合 A={} ,集合B={},则(CuA)∩B)=

查看答案和解析>>

科目:高中数学 来源:2017届北京市高三入学定位考试数学(文)试卷(解析版) 题型:选择题

下列函数中,在区间上为减函数的是( )

A. B.

C. D.

查看答案和解析>>

科目:高中数学 来源:2016届上海市高三第一次月考数学试卷(解析版) 题型:填空题

已知函数是函数)的反函数,其图像过点,则____________.

查看答案和解析>>

同步练习册答案