精英家教网 > 高中数学 > 题目详情

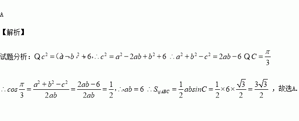
中,内角所对应的边分别为,则的面积( )

A. B. C.3 D.

练习册系列答案
相关习题

科目:高中数学 来源:2016届山东省高三最后一模文科数学试卷(解析版) 题型:填空题

四边形中,,则的最小值为

查看答案和解析>>

科目:高中数学 来源:2015-2016学年江西玉山一中高一下第三次考试文科数学卷(解析版) 题型:填空题

已知函数,数列的通项由确定,____________

查看答案和解析>>

科目:高中数学 来源:2015-2016学年江西玉山一中高一下第三次考试理科数学卷(解析版) 题型:解答题

已知向量,函数

(1)求函数的解析式与对称轴方程;

(2)在中,分别是角的对边,且,且,求的值.

查看答案和解析>>

科目:高中数学 来源:2015-2016学年江西玉山一中高一下第三次考试理科数学卷(解析版) 题型:填空题

函数的单调递增区间为_________.

查看答案和解析>>

科目:高中数学 来源:2015-2016学年江西玉山一中高一下第三次考试理科数学卷(解析版) 题型:选择题

已知等比数列的前项,若,且,则( )

A. B. C. D.

查看答案和解析>>

科目:高中数学 来源:205-2016学年吉林省高二下期中理科数学试卷(解析版) 题型:解答题

在棱长为的正方体中,分别为的中点.

(1)求

(2)求直线所成角的余弦值;

(3)求二面角的余弦值.

查看答案和解析>>

科目:高中数学 来源:205-2016学年吉林省高二下期中理科数学试卷(解析版) 题型:选择题

已知向量,若,则

A. B. C. D.

查看答案和解析>>

科目:高中数学 来源:2015-2016学年湖北省高二5月月考文科数学试卷(解析版) 题型:选择题

某校选修乒乓球课程的学生中,高一年级有30名,高二年级有40名,现用分层抽样的方法在这70名学生中抽取一个样本,已知在高一年级的学生中抽取了6名,则在高二年级的学生中应抽取的人数为( )

A.6 B.8 C.10 D.12

查看答案和解析>>

同步练习册答案