精英家教网 > 高中数学 > 题目详情

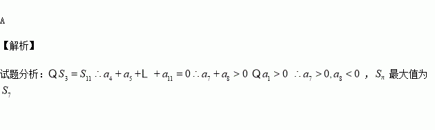
等差数列中,a1>0,d≠0,S3=S11,则Sn中的最大值是 ( )

A.S7 B.S7或S8 C.S14 D.S8

练习册系列答案
相关习题

科目:高中数学 来源:2015-2016学年甘肃省嘉峪关市高二上学期期中考试文科数学试卷(解析版) 题型:选择题

的等比中项,则的最小值为 ( )

A. B. C. D.

查看答案和解析>>

科目:高中数学 来源:2015-2016学年浙江省宁波市高一上期中数学试卷(解析版) 题型:选择题

已知,则的值为( )

A.0 B. C.2 D.

查看答案和解析>>

科目:高中数学 来源:2015-2016学年广西桂林中学高二上期中考试文科数学试卷(解析版) 题型:选择题

若不等式对任意正实数x,y恒成立,则实数的取值范围是( )

A. B. C. D.

查看答案和解析>>

科目:高中数学 来源:2015-2016学年福建省师大附高二上期中理科数学试卷(解析版) 题型:选择题

设等比数列的前n项和为,若,则 ( )

A.2 B. C. D.3

查看答案和解析>>

科目:高中数学 来源:2015-2016学年辽宁省大连市高二10月月考数学试卷(解析版) 题型:选择题

已知长方形中,的中点,则在此长方形内随机取一点的距离小于的概率为 ( )

A. B. C. D.

查看答案和解析>>

科目:高中数学 来源:2015-2016学年湖北省枣阳市高二10月月考理科数学试卷(解析版) 题型:解答题

(本小题满分12分)若以连续掷两次骰子分别得到的点数m、n作为点P的坐标

求:(1)点P在直线上的概率;

(2)点P在圆外的概率.

查看答案和解析>>

科目:高中数学 来源:2015-2016学年河南省英文学校高一上学期期中考试数学试卷(解析版) 题型:解答题

(本小题满分12分)已知函数

(1)求函数的定义域;

(2)若函数的最小值为―4,求的值.

查看答案和解析>>

科目:高中数学 来源:2015-2016学年浙江省平湖市高一10月月考数学试卷(解析版) 题型:选择题

,则函数的图象一定不过 ( )

A.第一象限 B.第二象限 C.第三象限 D.第四象限

查看答案和解析>>

同步练习册答案