精英家教网 > 高中数学 > 题目详情

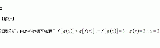
已知函数分别由下表给出:

满足的值是

练习册系列答案
相关习题

科目:高中数学 来源:2015-2016学年四川绵阳南山中学高二上期中理科数学试卷(解析版) 题型:填空题

给出下列命题:①直线的倾斜角是;②已知过抛物线的焦点的直线与抛物线交于两点,则有;③已知为双曲线的左、右焦点,点为双曲线右支上异于顶点的任意一点,则的内心始终在一条直线上.其中所有正确命题的序号为 .

查看答案和解析>>

科目:高中数学 来源:2015-2016学年辽宁省大连市高二10月月考数学试卷(解析版) 题型:填空题

为了考察某校各班参加课外书法小组的人数,在全校随机抽取5个班级,把每个班级参加该小组的人数作为样本数据.已知样本平均数为7,样本方差为4,且样本数据互相不相同,则样本数据中的最大值为

查看答案和解析>>

科目:高中数学 来源:2015-2016学年湖北省枣阳市高二10月月考理科数学试卷(解析版) 题型:选择题

数据的平均数为,方差为,则数据的方差是()

A. B. C. D.

查看答案和解析>>

科目:高中数学 来源:2015-2016学年湖北省高二上学期期中理科数学试卷(解析版) 题型:填空题

设圆,直线,点,使得圆上存在点,且为坐标原点),则点的横坐标的取值范围为_____________.

查看答案和解析>>

科目:高中数学 来源:2015-2016学年辽宁省大连市高一上学期期中考试数学试卷(解析版) 题型:选择题

下列函数中,既是偶函数,又在区间上单调递减的函数是 ( )

A. B. C. D.

查看答案和解析>>

科目:高中数学 来源:2015-2016学年河南省英文学校高一上学期期中考试数学试卷(解析版) 题型:选择题

函数)在区间上的最大值是最小值的2倍,则的值是

A. B. C. D.

查看答案和解析>>

科目:高中数学 来源:2014-2015学年浙江省等三校高二上学期期中考试数学试卷(解析版) 题型:解答题

设锐角三角形ABC的内角A、B、C的对边分别为a、b、c,a=2bsin A.

(1)求角B的大小;

(2)若a=3,c=5,求b.

查看答案和解析>>

科目:高中数学 来源:2015-2016学年四川成都市六校高二上学期期中联考文科数学试卷(解析版) 题型:解答题

(本小题满分12分)如图,在四棱锥中,底面为矩形,侧面底面

(1)求证:

(2)设为等边三角形,求直线与平面所成角的大小

查看答案和解析>>

同步练习册答案