精英家教网 > 高中数学 > 题目详情

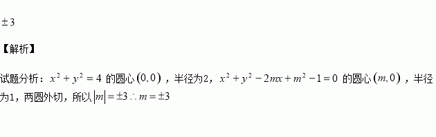
若圆与圆相外切,则实数=

练习册系列答案
相关习题

科目:高中数学 来源:2015-2016学年江苏省高一上学期期中数学试卷(解析版) 题型:填空题

已知函数的图象过定点A,若点A也在函数的图象上,则=

查看答案和解析>>

科目:高中数学 来源:2015-2016学年江西铅山一中 、横峰中学高二上学期期中理科数学卷(解析版) 题型:选择题

下列给出的赋值语句中正确的是 ( )

A.5=M B.x=-x C.B=A=3 D.x+y=0

查看答案和解析>>

科目:高中数学 来源:2015-2016学年湖南省高二上学期期中文科数学试卷(解析版) 题型:选择题

下列语句是命题的是( )

A. B. C.集合与简易逻辑 D.真子集

查看答案和解析>>

科目:高中数学 来源:2015-2016学年山东省高一上学期期中模块考试数学试卷(解析版) 题型:选择题

已知上的奇函数,,则( )

A.

B.

C.

D.无法比较

查看答案和解析>>

科目:高中数学 来源:2015-2016学年江苏省大丰市高二上学期期中考试数学试卷(解析版) 题型:填空题

若点在直线上,则的最小值为

查看答案和解析>>

科目:高中数学 来源:2015-2016学年吉林省扶余市高一上学期期中考试数学试卷(解析版) 题型:选择题

已知集合,集合满足,则集合

A.4个 B.3个 C.2个 D.1个

查看答案和解析>>

科目:高中数学 来源:2015-2016学年湖南省高二上学期期中考试理科数学试卷(解析版) 题型:选择题

在△ABC中,a=3,b=5,sinA=,则sinB=( )

A. B. C. D.1

查看答案和解析>>

科目:高中数学 来源:2015-2016学年辽宁省大连市高二上期中理科数学试卷(解析版) 题型:填空题

对于任意实数,曲线恒过定点

查看答案和解析>>

同步练习册答案