精英家教网 > 高中数学 > 题目详情

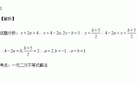
不等式组的解集是,那么的值等于

练习册系列答案
相关习题

科目:高中数学 来源:2015-2016学年陕西省西安市高一10月月考数学试卷(解析版) 题型:填空题

若函数f(x)满足关系式f(x)+2f()=3x,则f(2)的值为________.

查看答案和解析>>

科目:高中数学 来源:2015-2016学年湖北省高二上学期第一次月考文科数学试卷(解析版) 题型:选择题

在空间直角坐标系中,点与点之间的距离为( )

A. B. C. D.

查看答案和解析>>

科目:高中数学 来源:2016届广东省广州市荔湾区高三上学期调研测试一理科数学试卷(解析版) 题型:选择题

是虚数单位,若复数满足,则复数的模

A. B. C. D.

查看答案和解析>>

科目:高中数学 来源:2015-2016学年浙江省高一上学期第一次月考数学试卷(解析版) 题型:填空题

已知函数的定义域为[-2,2],且在区间[-2,2]上是增函数,,求实数m的取值范围__________________.

查看答案和解析>>

科目:高中数学 来源:2015-2016学年河南省高一上期第一次月考数学试卷(解析版) 题型:填空题

函数在R上为奇函数,且,则当

查看答案和解析>>

科目:高中数学 来源:2015-2016学年河北邢台市高二上学期第一次月考文科数学试卷(解析版) 题型:选择题

一个水平放置的平面图形的斜二测直观图是一个底角为,腰和上底均为1的等腰梯形,则这个平面图形的面积为( )

A. B. C.1+ D.

查看答案和解析>>

科目:高中数学 来源:2015-2016学年河北衡水冀州中学高二上学期第一次月考理科数学试卷(解析版) 题型:选择题

中,,则( )

A、 B、 C、 D、

查看答案和解析>>

科目:高中数学 来源:2015-2016学年湖南省长沙市推荐高二上学期开学分班数学试卷(解析版) 题型:解答题

(本小题满分13分)函数y=Asin(ωx+)(A>0,ω>0)在x∈(0,7π)内取到一个最大值和一个最小值,且当x=

π时,y有最大值3,当x=6π时,y有最小值-3.

(1)求此函数解析式;

(2)写出该函数的单调递增区间;

(3)是否存在实数m,满足不等式Asin()>Asin()?若存在,求出m值(或范围),若不存在,请说明理由.

查看答案和解析>>

同步练习册答案