精英家教网 > 高中数学 > 题目详情

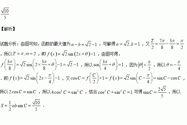
已知函数的部分图象如下图,其中分别是的角所对的边,,则的面积________.

练习册系列答案
相关习题

科目:高中数学 来源:2016届山东省滨州市高三第二次模拟考试文科数学试卷(解析版) 题型:解答题

已知数列的前项和为,且.数列为等差数列,.

(Ⅰ)求数列的通项公式;

(Ⅱ)设,求数列的前项和.

查看答案和解析>>

科目:高中数学 来源:2016届海南省高三考前模拟八文科数学试卷(解析版) 题型:解答题

选修4-4:坐标系与参数方程

已知直线的参数方程为:

(1)若上一点对应的参数值,求的坐标和的值;

(2)与圆交于,求的值.

查看答案和解析>>

科目:高中数学 来源:2016届海南省高三考前模拟八文科数学试卷(解析版) 题型:选择题

一个几何体的三视图如图,则这个几何体的表面积是( )

A. B. C. D.

查看答案和解析>>

科目:高中数学 来源:2015-2016学年河北省高一4月月考数学试卷(解析版) 题型:解答题

数列满足

(1)证明:数列是等差数列;

(2)若,求

查看答案和解析>>

科目:高中数学 来源:2015-2016学年河北省高一4月月考数学试卷(解析版) 题型:选择题

某人在点测得某塔在南偏西80°,塔顶仰角为45°,此人沿南偏东40°方向前进10米到,测得塔顶的仰角为30°,则塔高为( )

A.15米 B.5米 C.10米 D.12米

查看答案和解析>>

科目:高中数学 来源:2015-2016学年河北省高一4月月考数学试卷(解析版) 题型:选择题

设直线过点,其斜率为1,且与圆相切,则的值为( )

A. B. C. D.

查看答案和解析>>

科目:高中数学 来源:2015-2016学年广西陆川中学高一下周测5文科数学试卷(解析版) 题型:选择题

已知,则的值为( )

A.3 B. C. D.

查看答案和解析>>

科目:高中数学 来源:2016届云南省高三第八次考前训练文科数学试卷(解析版) 题型:选择题

从500件产品中随机抽取20件进行抽样,利用随机数表法抽取样本时,先将这500件产品按001,002,003,…,500进行编号,如果从随机数表的第1行第6列开始,从左往右依次选取三个数字,则选出来的第4个个体编号为( )

1622 7794 3949 5443 5482 1737 9323 7887 3520 9643

8626 3491 6484 4217 5331 5724 5506 8877 0474 4767

A.435 B.482 C.173 D.237

查看答案和解析>>

同步练习册答案