精英家教网 > 高中数学 > 题目详情

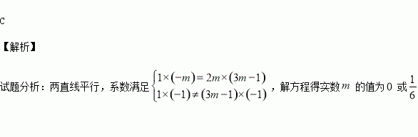
直线平行,则实数的值为( )

A.0 B. C. D.

练习册系列答案
相关习题

科目:高中数学 来源:2016届江西省高三上学期第三次考试理科数学试卷(解析版) 题型:解答题

已知等差数列满足:,其中为数列的前n项和.

(Ⅰ)求数列的通项公式;

(Ⅱ)若Equation Section (Next),且成等比数列,求的值。

查看答案和解析>>

科目:高中数学 来源:2015-2016学年安徽师大附中高二上学期期中理科数学试卷(解析版) 题型:选择题

已知直线l:(A,B不全为0),两点,若,且,则( )

A.直线l与直线P1P2不相交

B.直线l与线段P2 P1的延长线相交

C.直线l与线段P1 P2的延长线相交

D.直线l与线段P1P2相交

查看答案和解析>>

科目:高中数学 来源:2015-2016学年江西铅山一中 、横峰中学高二上学期期中理科数学卷(解析版) 题型:解答题

已知函数

(1)当a=4,解不等式

(2)若不等式f(x)<x在[1,+∞)恒成立,求实数a的取值范围.

查看答案和解析>>

科目:高中数学 来源:2015-2016学年黑龙江省高二上学期期中数学试卷(解析版) 题型:填空题

已知不等式组,表示的平面区域为M,若直线与平面区域M有公共点,则k的取值集合是______________.

查看答案和解析>>

科目:高中数学 来源:2015-2016学年广东省清远市实验学校高二上学期期中数学试卷(解析版) 题型:填空题

若||=1,||=2,=+,且,则的夹角为________。

查看答案和解析>>

科目:高中数学 来源:2015-2016学年湖南省高二上学期期中文科数学试卷(解析版) 题型:选择题

下列函数中,以为最小正周期的偶函数是( )

A.y=sin2x+cos2x B.y=sin2xcos2x

C.y=cos(4x+) D.y=sin22x﹣cos22x

查看答案和解析>>

科目:高中数学 来源:2015-2016学年江苏省大丰市高二上学期期中考试数学试卷(解析版) 题型:填空题

已知平面上定点F1、F2及动点M.命题甲:“为常数)”;命题乙:“ M点轨迹是以F1、F2为焦点的双曲线”.则甲是乙的_____条件.(填“充分不必要”、“必要不充分”、“充要”、“既不充分也不必要”中的一个)

查看答案和解析>>

科目:高中数学 来源:2014-2015学年上海市高二下学期期末考试数学试卷(解析版) 题型:解答题

(本题满分12分)如图,直线平面为正方形,,求直线所成角的大小.

查看答案和解析>>

同步练习册答案