精英家教网 > 高中数学 > 题目详情
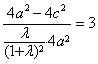
椭圆(a>b>0)的左、右焦点分别为F1,F2,点P在椭圆上,∠F1PF2=60°,设=λ,
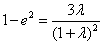
(Ⅰ)当λ=2时,求椭圆离心率e;
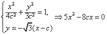
(Ⅱ)当椭圆离心率最小时,PQ为过椭圆右焦点F2的弦,且|PQ|=,求椭圆的方程。
解:(Ⅰ)
∴|PF1|=2|PF2|,
又|PF1|+|PF2|=2a,




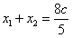
(Ⅱ)




取λ=1时,|PF2|=
∴P(0,b)(或P(0,-b)由对称性仅研究其一即可),


∴c=1,
练习册系列答案
相关习题

科目:高中数学 来源:2010-2011学年河北冀州中学高二年级下学期第三次月考题(文) 题型:解答题

已知椭圆(a>b>0)的离心率e=,连接椭圆的四个顶点得到的菱形的面积为4.
(Ⅰ)求椭圆的方程;
(Ⅱ)设直线l与椭圆相交于不同的两点A、B,已知点A的坐标为
(i)若,求直线l的倾斜角;
(ii)若点Q在线段AB的垂直平分线上,且.求的值.

查看答案和解析>>

科目:高中数学 来源:2013年浙江省杭州市重点高中高考命题比赛数学参赛试卷14(理科)(解析版) 题型:解答题

已知椭圆(a>b>0)的右焦点为F2(3,0),离心率为
(1)求椭圆的方程.
(2)设直线y-kx与椭圆相交于A,B两点,M,N分别为线段AF2,BF2的中点,若坐标原点O在以MN为直径的圆上,求k的值.

查看答案和解析>>

科目:高中数学 来源:2011年湖北省天门市高考数学模拟试卷3(文科)(解析版) 题型:解答题

已知椭圆(a>b>0)的焦距为4,且与椭圆有相同的离心率,斜率为k的直线l经过点M(0,1),与椭圆C交于不同两点A、B.
(1)求椭圆C的标准方程;
(2)当椭圆C的右焦点F在以AB为直径的圆内时,求k的取值范围.

查看答案和解析>>

科目:高中数学 来源:2011年广东省广州市华侨中学高三一轮复习检测数学试卷(理科)(解析版) 题型:解答题

已知F1,F2分别是椭圆(a>b>0)的左,右焦点,若椭圆的右准线上存在一点P,使得线段PF1的垂直平分线过点F2,则离心率的范围是   

查看答案和解析>>

科目:高中数学 来源:2010年河北省邯郸市高二上学期期末考试数学理卷 题型:解答题

(本小题满分分)

(普通高中)已知椭圆(a>b>0)的离心率,焦距是函数的零点.

(1)求椭圆的方程;

(2)若直线与椭圆交于两点,,求k的值.

 

查看答案和解析>>

同步练习册答案