精英家教网 > 高中数学 > 题目详情

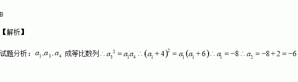
已知等差数列的公差为,若成等比数列, 则( )

A、 B、 C、 D、

练习册系列答案
相关习题

科目:高中数学 来源:2015-2016学年河北省高二上学期第二次月考文数学试卷(解析版) 题型:选择题

若点是圆的弦AB的中点,则直线AB的方程是( )

A. B.

C. D.

查看答案和解析>>

科目:高中数学 来源:2015-2016学年福建省福安市高二上学期第一次月考试数学试卷(解析版) 题型:解答题

(本小题8分)解关于x的不等式

查看答案和解析>>

科目:高中数学 来源:2015-2016学年甘肃天水秦安二中高二上学期第一次月考文科数学试卷(解析版) 题型:选择题

已知中,,则边上的高线所在直线方程为__________.

查看答案和解析>>

科目:高中数学 来源:2015-2016学年河北省高二10月月考数学试卷(解析版) 题型:选择题

在等比数列中,,则的值是( )

A.14 B.16 C.18 D.20

查看答案和解析>>

科目:高中数学 来源:2015-2016学年广东省高二9月阶段测试文科数学试卷(解析版) 题型:选择题

在△ABC中,,则等于( )

A、 B、 C、 D、

查看答案和解析>>

科目:高中数学 来源:2015-2016学年黑龙江省高一上学期第一阶段考数学试卷(解析版) 题型:选择题

下列四个集合中,是空集的是( )

A. B.

C. D.

查看答案和解析>>

科目:高中数学 来源:2015-2016学年陕西省西安市高二10月月考文科数学试卷(解析版) 题型:解答题

已知数列{an}的前n项和Sn=-n2+32n,

(Ⅰ)求的通项公式;

(Ⅱ)求{|an|}的前20项和T20

查看答案和解析>>

科目:高中数学 来源:2015-2016学年湖北省高二上学期第一次月考理科数学试卷(解析版) 题型:选择题

如图为一个几何体的三视图,正视图和侧视图均为矩形,俯视图为正三角形,尺寸如图,则该几何体的全面积为( )

A. B. C. D.

查看答案和解析>>

同步练习册答案