精英家教网 > 高中数学 > 题目详情

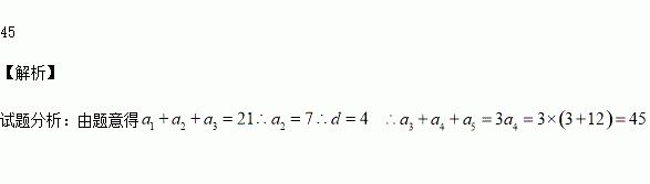
在各项都为正数的等比数列{an}中,首项a1=3,前3项和为21,则a3+a4+a5=_____.

练习册系列答案
相关习题

科目:高中数学 来源:2015-2016学年陕西省高二上学期期中考试数学试卷(解析版) 题型:选择题

若1+2+22+……+2n>100,n?N*,则n的最小值为( )

A.6 B.7 C.8 D.9

查看答案和解析>>

科目:高中数学 来源:2015-2016学年辽宁省大连市高一上学期期中考试数学试卷(解析版) 题型:填空题

已知在区间[0、1]上的最小值是0.25,则=

查看答案和解析>>

科目:高中数学 来源:2015-2016学年广东省普宁市高一上学期期中考试数学试卷(解析版) 题型:解答题

(本小题满分14分) 已知函数

(1)求函数的最小正周期;

(2)确定函数上的单调性并求在此区间上的最小值.

查看答案和解析>>

科目:高中数学 来源:2015-2016学年甘肃省定西市高一上学期第一次月考数学试卷(解析版) 题型:填空题

已知集合

查看答案和解析>>

科目:高中数学 来源:2014-2015学年上海市高一下学期期末考试数学试卷(解析版) 题型:填空题

在数列中,已知,且数列是等比数列,则

查看答案和解析>>

科目:高中数学 来源:2016届浙江省高三10月月考文科数学试卷(解析版) 题型:填空题

过原点且倾斜角为的直线与圆相交,则圆的半径为___________直线被圆截得的弦长为______________

查看答案和解析>>

科目:高中数学 来源:2015-2016学年四川省高一上学期第一学月考数学试卷(解析版) 题型:选择题

设集合A=[0,),B=[,1],函数f(x)=,若x0∈A,且f[f(x0)]∈A,则x0的取值范围是( )

A.(0,] B.(] C.() D.[0,]

查看答案和解析>>

科目:高中数学 来源:2015-2016学年湖北省宜昌市高一上学期期中考试数学试卷(解析版) 题型:选择题

设集合 ( )

A. B. C. D.

查看答案和解析>>

同步练习册答案