精英家教网 > 高中数学 > 题目详情
(选做题)
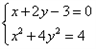
在平面直角坐标系xOy中,判断曲线C:(θ为参数)与直线l:(t为参数)是否有公共点,并证明你的结论。
解:直线l的普通方程为x+2y-3=0,
曲线C的普通方程为
由方程组
因为无解,
所以曲线C与直线l没有公共点。  
练习册系列答案
相关习题

科目:高中数学 来源: 题型:

(坐标系与参数方程选做题)在平面直角坐标系xOy中,曲线C的参数方程为
x=2cosθ-4
y=-2sinθ+3
(参数θ∈[0,2x)).则曲线C的普通方程是
(x+4)2+(y-3)2=4
(x+4)2+(y-3)2=4
,曲线C上的点到坐标原点距离的最小值是
3
3

查看答案和解析>>

科目:高中数学 来源: 题型:

(坐标系与参数方程选做题)
在平面直角坐标系中xoy中,曲线C1和曲线C2的参数方程分别为
x=2-3t
y=1+t
(t为参数)和
x=2cosθ+1
y=2sinθ
(θ为参数,0≤θ≤
π
2
),则曲线C1截曲线C2所得的弦长为
4
5
15
4
5
15

查看答案和解析>>

科目:高中数学 来源: 题型:

(2012•湛江二模)(坐标系与参数方程选做题)在平面直角坐标系xOy中,直线l的参数方程为
x=t+3
y=3-t
(参数t∈R),圆的参数方程为
x=2cosθ
y=2sinθ+2
(参数θ∈[0,2π)),则圆心到直线l的距离为
2
2
2
2

查看答案和解析>>

科目:高中数学 来源: 题型:

(坐标系与参数方程选做题) 在平面直角坐标系xoy中,若圆C:
x=rcosθ-1
y=rsinθ+2
(θ为参数)与直线L:
x=4t+6
y=-3t-2
(t为参数)相交的弦长为4
6
,则圆的半径r=
 

查看答案和解析>>

科目:高中数学 来源: 题型:

(坐标系与参数方程选做题)在平面直角坐标系中,直线L的参数方程为
x=t+3
y=3-t
(参数t∈R),圆的参数
方程为
x=2cosθ
y=2sinθ+2
(参数θ∈[0,2π))则圆心到直线l的距离为
 

查看答案和解析>>

同步练习册答案